Q1.翻转二叉树(easy)
如题所示
示例: 输入: 4 / \ 2 7 / \ / \ 1 3 6 9 输出: 4 / \ 7 2 / \ / \ 9 6 3 1 来源:力扣(LeetCode) 链接:https://leetcode-cn.com/problems/invert-binary-tree
这道题目起源于一个非常搞笑的事件:据说大名鼎鼎的Mac软件包管理工具Homebrew的作者,因为做不出这道在leetcode上难度为easy的题,被谷歌公司拒了。。。
谷歌:我们90%的工程师使用您编写的软件(Homebrew),但是您却无法在面试时在白板上写出翻转二叉树这道题,这太糟糕了。
格式要求
/** * Definition for a binary tree node. * function TreeNode(val) { * this.val = val; * this.left = this.right = null; * } */ /** * @param {TreeNode} root * @return {TreeNode} */ var invertTree = function(root) { // 编码 };
分析:二叉树遍历
思路就是遍历二叉树的每一个节点,然后把左右链接替换一下就可以了。前序/中序/后序 都可以。如下所示
具体代码
var invertTree = function(root) { traveral(root); return root; }; function traveral(node) { if (node === null) return; traveral(node.left); traveral(node.right); const temp = node.right; node.right = node.left; node.left = temp; }
Q2.二叉树的右视图(middle)
给定一棵二叉树,想象自己站在它的右侧,按照从顶部到底部的顺序,返回从右侧所能看到的节点值。
输入: [1,2,3,null,5,null,4] 输出: [1, 3, 4] 解释: 1 <--- / \ 2 3 <--- \ \ 5 4 <--- 输入: [1,2,3,null,5,null,null] 输出: [1, 3, 5] 解释: 1 <--- / \ 2 3 <--- \ 5 <--- 来源:LeetCode 链接:https://leetcode-cn.com/problems/binary-tree-right-side-view
格式要求
/** * Definition for a binary tree node. * function TreeNode(val) { * this.val = val; * this.left = this.right = null; * } */ /** * @param {TreeNode} root * @return {number[]} */ var rightSideView = function(root) { // 编码 }
分析:层序遍历
题目的思路很明显,对二叉树进行层序遍历,然后取得每一层的最后一个节点。放到一个数组里最后返回。
1.我们可以设置一个队列存放依次遍历的节点对象。
2.使用两层循环
-
内层循环通过不断出队列的方式遍历当前层的节点,同时通过左右链接收集下一层节点
-
外层循环判断队列长度>0时就继续运行,从而实现逐层迭代
3.在每次内层循环中获取最右端的非空节点
具体代码
var rightSideView = function(root) { if (!root) return []; const queue = []; const arrRS = []; // 先保存根结点,也就是第一层二叉树 queue.push(root); while (queue.length > 0) { // 将队列长度先保存到一个变量里面 // 表示的是上一层的节点的数量 let length = queue.length; let temp = null; // 遍历上一层节点,将它们的子节点加入队列中,收集得到二叉树的下一层 for (let i = 0; i < length; i++) { // 出队列,并获得返回的父节点 const node = queue.shift(); // 每次都用当前节点的val覆盖temp // temp最后会等于当前层最右的一个非空节点的val值 if (node.val) temp = node.val; // 收集当前节点的左节点和右节点,从而得到下一层 if (node.left) queue.push(node.left); if (node.right) queue.push(node.right); } // 收集每一层的最右节点 arrRS.push(temp); } return arrRS; };
Q3.二叉树中的最大路径和(difficult)
给定一个非空二叉树,返回其最大路径和。
本题中,路径被定义为一条从树中任意节点出发,达到任意节点的序列。该路径至少包含一个节点,且不一定经过根节点。
示例1: 输入: [1,2,3] 1 / \ 2 3 输出: 6 示例2: 输入: [-10,9,20,null,null,15,7] -10 / \ 9 20 / \ 15 7 输出: 42 来源:LeetCode 链接:https://leetcode-cn.com/problems/binary-tree-maximum-path-sum/
格式要求
/** * Definition for a binary tree node. * function TreeNode(val) { * this.val = val; * this.left = this.right = null; * } */ /** * @param {TreeNode} root * @return {number} */ var maxPathSum = function(root) { // 编码 };
思路分析
1.整体思路:通过后序遍历,自底向上计算。
因为后序遍历的计算过程是:左节点-右节点-根结点。 所以通过这种遍历方式,我们可以在计算两个子节点的基础上,推断当这两个节点到父节点的最大路径和。然后不断向上累加,去计算最大值。
同时在每个节点都通过Math.max更新当前的最大值,直到回归到根结点的时候,也就能比较出最大值来了。
2.路径的单一性: 当一个节点是只是作为一个中间节点,而不是一个根节点的时候:左节点和右节点只能选择一个作为经过的路径。 因为路径是“单一”的而不是“分叉”的
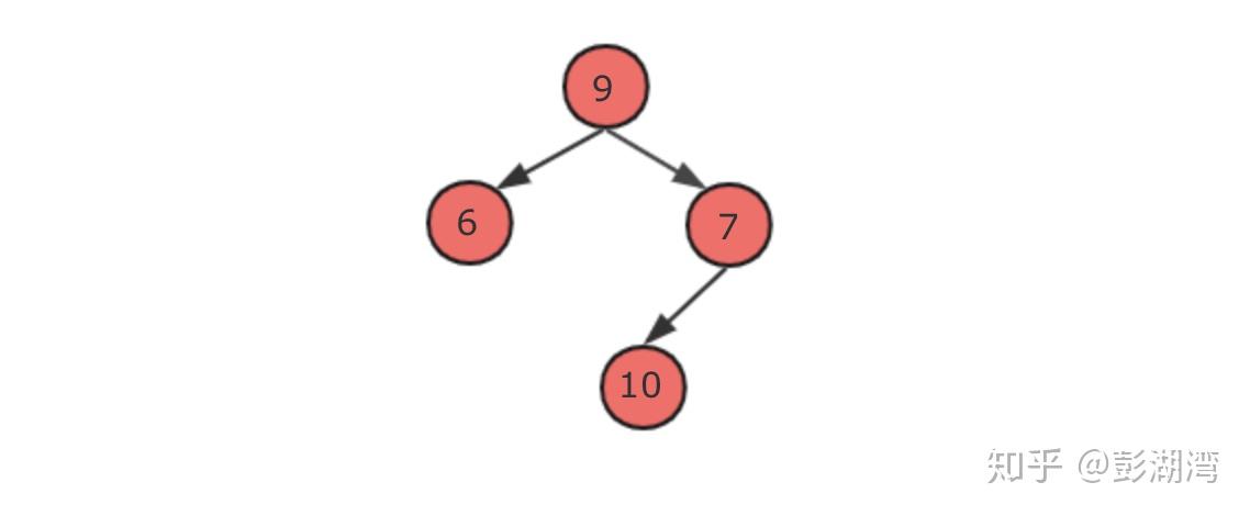
例如下面的图示中, 当我们通过比较选择9-7-10这条的时候,节点8就不在路径内了
3.根节点的连接性:当一个节点作为根节点的时候,它可以将两个子树的路径连接起来
4. 对于两个子节点的累加值A,B,分3种情况讨论
-
A>0,B>0: 选择Math.max(A,B)作为经过路径
-
A>0,B<0: 选择A作为经过路径
-
A<0,B>0: 选择B作为经过路径
-
A<0,B<0: A,B都不选
综上所述
我们的思路是:
-
后序遍历,自底向上计算
-
对于每个节点,假设它是根结点,计算它联合两个子树路径后的最大值
-
对于每个节点,假设它是中间节点,选择两条中较大的一条子树作为路径
-
对于2,3分上面的四种情况进行分别处理
具体代码
// 1.考虑全为负数的情况 // 2.考虑当前节点为负的情况 let max = Number.MIN_VALUE; var maxPathSum = function(root) { max = root.val; traveral(root); return max; }; function traveral(node) { if (node === null) return 0; const a = traveral(node.left); const b = traveral(node.right); let v = node.val; if (a >= 0 && b >= 0) { max = Math.max(max, v + a + b); v += Math.max(a, b); } else if (a >= 0) { max = Math.max(max, v + a); v += a; } else if (b >= 0) { max = Math.max(max, v + b); v += b; } return v; } function TreeNode(val) { this.val = val; this.left = this.right = null; }
本文完


