链接:https://www.zhihu.com/question/41354392/answer/98658997
来源:知乎
著作权归作者所有。商业转载请联系作者获得授权,非商业转载请注明出处。
最近赞忽然多了起来,我猜是校招季来了吧。但如果面试官问你这个问题,我建议不要按我的回答来,背答案不如自己理解透了,况且我这是十分得五分的答案。最初的GBDT发展到现在的XGBoost,改进是一点一滴来的,是一篇篇论文的积累,很多方法并非XGBoost第一次提出,当然也不是说XGBoost没改进,可以说XGBoost把算法和系统实现都做得淋漓尽致。所以如果不是为了速成,不是为了校招,建议把经典的论文拿出来读一读,相信对算法的理解能更进一层。
最近实习刚好在组内分享了GBDT,所以有了这番感悟,看了更多资料,发现自己理解还是有偏差,附上我做的ppt,若再有偏差,欢迎跟我邮件交流: wepon.me/files/gbdt.pdf
以下原答案:
-----------------------------------
xgboost相比传统gbdt有何不同?xgboost为什么快?xgboost如何支持并行?
看了陈天奇大神的文章和slides,略抒己见,没有面面俱到,不恰当的地方欢迎讨论:
- 传统GBDT以CART作为基分类器,xgboost还支持线性分类器,这个时候xgboost相当于带L1和L2正则化项的逻辑斯蒂回归(分类问题)或者线性回归(回归问题)。
- 传统GBDT在优化时只用到一阶导数信息,xgboost则对代价函数进行了二阶泰勒展开,同时用到了一阶和二阶导数。顺便提一下,xgboost工具支持自定义代价函数,只要函数可一阶和二阶求导。
- xgboost在代价函数里加入了正则项,用于控制模型的复杂度。正则项里包含了树的叶子节点个数、每个叶子节点上输出的score的L2模的平方和。从Bias-variance tradeoff角度来讲,正则项降低了模型的variance,使学习出来的模型更加简单,防止过拟合,这也是xgboost优于传统GBDT的一个特性。
- Shrinkage(缩减),相当于学习速率(xgboost中的eta)。xgboost在进行完一次迭代后,会将叶子节点的权重乘上该系数,主要是为了削弱每棵树的影响,让后面有更大的学习空间。实际应用中,一般把eta设置得小一点,然后迭代次数设置得大一点。(补充:传统GBDT的实现也有学习速率)
- 列抽样(column subsampling)。xgboost借鉴了随机森林的做法,支持列抽样,不仅能降低过拟合,还能减少计算,这也是xgboost异于传统gbdt的一个特性。
- 对缺失值的处理。对于特征的值有缺失的样本,xgboost可以自动学习出它的分裂方向。
- xgboost工具支持并行。boosting不是一种串行的结构吗?怎么并行的?注意xgboost的并行不是tree粒度的并行,xgboost也是一次迭代完才能进行下一次迭代的(第t次迭代的代价函数里包含了前面t-1次迭代的预测值)。xgboost的并行是在特征粒度上的。我们知道,决策树的学习最耗时的一个步骤就是对特征的值进行排序(因为要确定最佳分割点),xgboost在训练之前,预先对数据进行了排序,然后保存为block结构,后面的迭代中重复地使用这个结构,大大减小计算量。这个block结构也使得并行成为了可能,在进行节点的分裂时,需要计算每个特征的增益,最终选增益最大的那个特征去做分裂,那么各个特征的增益计算就可以开多线程进行。
- 可并行的近似直方图算法。树节点在进行分裂时,我们需要计算每个特征的每个分割点对应的增益,即用贪心法枚举所有可能的分割点。当数据无法一次载入内存或者在分布式情况下,贪心算法效率就会变得很低,所以xgboost还提出了一种可并行的近似直方图算法,用于高效地生成候选的分割点。
=============
回复
决策树的学习过程就是为了找出最优的决策树,然而从函数空间里所有的决策树中找出最优的决策树是NP-C问题,所以常采用启发式(Heuristic)的方法,如CART里面的优化GINI指数、剪枝、控制树的深度。这些启发式方法的背后往往隐含了一个目标函数,这也是大部分人经常忽视掉的。xgboost的目标函数如下:

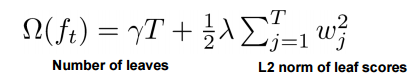
其中正则项控制着模型的复杂度,包括了叶子节点数目T和leaf score的L2模的平方:

那这个跟剪枝有什么关系呢??? 跳过一系列推导,我们直接来看xgboost中树节点分裂时所采用的公式:

这个公式形式上跟ID3算法(采用entropy计算增益) 、CART算法(采用gini指数计算增益) 是一致的,都是用分裂后的某种值 减去 分裂前的某种值,从而得到增益。为了限制树的生长,我们可以加入阈值,当增益大于阈值时才让节点分裂,上式中的gamma即阈值,它是正则项里叶子节点数T的系数,所以xgboost在优化目标函数的同时相当于做了预剪枝。另外,上式中还有一个系数lambda,是正则项里leaf score的L2模平方的系数,对leaf score做了平滑,也起到了防止过拟合的作用,这个是传统GBDT里不具备的特性。