链接:https://www.zhihu.com/question/51419155/answer/1165238223
来源:知乎
著作权归作者所有。商业转载请联系作者获得授权,非商业转载请注明出处。
一、第一把钥匙:快速反应公式
(一)首先,我们要全面了解资料分析涉及的求解对象有哪些

其他比较少见的有:发展速度、增长贡献率、拉动增长率
(二)其次,你得知道并理解计算对象对应的公式
在这里,一些基础性的公式我就不罗列了,在我的背公式小工具(后文会介绍)里都有。
因为我这篇文章是用来进阶的,所以对于几个大家容易混淆的公式,我想重点辨析一下。
①两期比重差(出现频率:中)
例:今年苹果数为A,同比增长率为a,水果总数为B,同比增长率为b。求苹果占水果比重比上年上升了几个百分点?

但上面的只是一般写法,我们记忆的应该是下面这种形式:

为什么要调整顺序?因为这可以大大缩短我们的做题时间。
在实际做题中,出题者并非是想让我们精确地把公式全部算出来,所以选项之间的差距往往会设计得恰到好处,让你可以估算解题。
"a-b"可以口算;"A/B"不需要算,大概化成几分之几就可以了;对于"1/(1+a)",如果a<10%,那么可以忽略不算,如果a>10%,那么就还需要根据“1/(1+a)”的值调整最后结果。
以上这几步都可以口算。
例题1:2016年山东省公务员录用考试《行测》真题第117题
【材料】2015年一季度,某省省级及以上园区(以下简称园区)实现主营业务收入7062.85亿元,同比增长11%......上缴税金223.87亿元,同比增长14.1%。
【问题】2015年一季度,该省园区企业上缴税金占主营业务收入的比重比上年同期:
A.上升了0.1个百分点 B.上升了3.1个百分点 C.下降了0.1个百分点 D.下降了3.1个百分点
解:看问题,求得是两期比重差。脑海里立刻跳出公式,找数据,计算。a-b=14.1%-11%=3.1% , A/B≈223/7062≈2/70,算到这里就可以了。我们知道两期比重差为正数,且比3.1%小很多,所以选A。
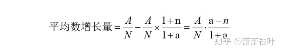
②平均数增长量(出现频率:低)
例:今年苹果数为A,同比增长率为a,苹果树的数量为N,同比增长率为n。求平均每棵苹果树上的苹果数量比上年多多少个?

虽然和①中的公式形式一致,但含义大相径庭。在①中,“A/B”代表占比,大小在(0,1)之间,而本式“A/N”代表平均数,大小一般远大于1。
对于本式,我们应该按照下面这种形式进行记忆:

此类题型出现频率较低,做题时,一般要把全部式子算完,才能开始对比选项。
③平均数增长率(出现频率:低)
例:今年苹果数为A,同比增长率为a,苹果树的数量为N,同比增长率为n。求平均每棵苹果树上的苹果数量比上年增长多少(增长率)?

大家应该注意到,公式里面没有“A”和“N”,这就大大减少了计算量和做题时间。
例题2:2018年上海市公务员录用考试《行测》真题(B类)第86题
【材料】......2017年上半年,S市出口手机1.9亿台,比去年同期减少22.7%;价值513.1亿元人民币,下降23.7%。......
【问题】2017年上半年,S市平均每台出口手机的价值比去年同期约____。
A.上升0.8 B.上升1.3 C.下降0.8 D.下降1.3
解:根据公式,a-n=-23.7%-(-22.7%)=-1%,增长率为负数,1+n=77.3%,平均增长率=-1%/77.3%,不需要算,绝对值大于1的只有B和D,又因为为负数,所以选D。
以上就是我认为大家在进阶的时候需要注意的三个公式,他们容易被混淆,而且如果你盲目硬算,会浪费很多时间,所以希望大家看完我的解析之后,面对相关题目能心中有数。
对于其他基础性公式,我觉得也是很重要的,但一般机构都会教,我就不赘述了,如果有强烈需要我写文章辨析的公式,请留言~
(三)最后,你得背下所有公式
如果考试的时候背不出公式,那么你最明智的选择就是放弃这道题。
为了避免这种尴尬的局面出现,我苦思冥想,给大家做了一个背公式的小工具。如图:

使用方式很简单,把我资料里面的xls文件用Microsoft Excel 2007以上版本打开,然后按Ctrl+Q,就会弹出背诵界面,简单直白。
更重要的是,除了我提前准备好的知识点,你还可以往里面添加自己想要熟记的其他知识点,非常灵活。
(写到这里,突然想插一句:如果你以后进了机关,就会发现你最常接触的两个办公软件就是Word和Excel,学好Excel的高级用法,你就是科室里最靓的仔!)
工具的获取到文末,先不着急,干货还没完!
二、第二把钥匙:准确找到数据
资料分析每一步都要求“快”,但在找数据方面,我希望大家先做到“准”,再做到“快”。
找数据主要注意以下几方面,按照重要性有如下排序:

(一)时间
最常见的坑就是,材料中描述的是今年,而问题求解的是去年的指标。如果考生不仔细看题,就可能算了半天还是选错了。
对于“时间”,你还需要注意以下几点:
①时间轴是顺序还是倒序
例题3:2016年重庆市公务员录用考试《行测》真题(下半年)第119题

(我也不懂为什么出题人要把时间画成倒序的/摊手,反正大家多个心眼吧)
②时间的跨度不仅可以用数字表示,还可以用文字。
例题4:2015年黑龙江省公务员录用考试《行测》真题第125题
以下说法正确的是:
B.自启动以来免费午餐在2011年的月均捐赠收入不到200万元
...
这道题的B选项,考生很容易一看到2011年月均捐赠收入,就直接拿2011年总收入除以12。但却忽略了“自启动以来”这五个字,因为这五个字,我们必须去除前三个月,因为免费午餐基金是4月份才开始正式启动的。

(二)计算对象
对于“计算对象”,你需要注意以下几点:
①在段落开头找到的对象词,要留心后面有没有类似的对象词。
例题5:2016年国家公务员录用考试《行测》真题(副省级)第131题

上图这道题在找计算对象的时候就要小心,因为有些对象的描述非常相似,要注意区分。有些题目材料里面的对象描述甚至只有一字之差。
②涉及到“增加多少”“增长多少”,请先根据选项确定求的是“增长量”还是“增长率”,再去找数据。
③涉及比较的对象注意“同比”还是“环比”
④涉及进出口的对象,注意“进口”还是“出口”
(三)单位
针对“单位”,需要特别注意的就是百分号和千分号的区别,可以说百分之九十九的题出现的都是百分号,但也不排除你会遇到那百分之一的出现千分号的题。
例题6:2014年河南省公务员录用考试《行测》真题第116题

(四)图例

对于有统计图的材料,我们要注意图例,看看图形代表的是单期量还是累计量。
还要注意,有些统计图的图例并没有“累计”的字眼,但是却是累计量。比如下面这道题:
例题7:2016年重庆市公务员录用考试《行测》真题(下半年)第101题

常见的还有人口统计。
以上就是我认为在找数据的过程中应当注意的几方面,但每个人出错的地方都不尽相同,所以我更希望大家能去总结自己在找数据方面有哪些值得注意的地方,这样更有针对性。
也欢迎大家给我留言,分享你踩过的坑,如果被采纳了,可以获得一次免费咨询~
三、第三把钥匙:快速运算技巧
这部分大家首先要明确几点: 1.绝大部分题都不要求精确计算,不然不可能在25-30分钟内做完20题(机关里并不缺计算器) 2.看完选项再计算,选项的特点决定了你使用哪种计算方式 3.技巧在精不在多,而且要熟练掌握才有用。
注:网上资料分析的技巧很多很杂,我备考的时候学了很多技巧,但发现最后真正有用的也就那几个。这部分内容的目的就是让大家在少走弯路。
以下的方法大部分是在我备考的那时候就已经有了,我不知道也无法查证原创是谁,但为了表达敬意,我会说明我最早是在谁的课里看到的。

因为后文的技巧都涉及到一个知识点——选项差距的判断,所以这里先和大家补充一下这块的知识。
(一)选项差距判定标准
“选项差距大”指:
(1)四个选项首位均不同。 例如2018年北京市市考第126题求基期题,四个选项分别为:A.22 B.33 C.43 D.55。A的首位为2、B的首位为3、C的首位为4、D的首位为5,这就是首位不同。那么这道题就可以看作"选项差距大"。
(2)存在首位相同的两个选项,但这两个选项的次位差(第二位的差)大于首位。 例如2017年北京市市考第126题求基期题(居然和前一年题号、类型都一样,惊!),四个选项分别为:A.387 B.320 C.265 D.214。比较接近的选项有两组,分别是A和B,C和D。A和B首位都是3,A的第二位是8,B的第二位是2,A和B的次位差8-2=6>首位3;C和D的首位都是2,C和D的次位差6-1>首位2。所以这道题可以看作选项差距大。
“选项差距小”指:
存在首位相同的两项,且这两个选项的次位差小于或等于首位。 例如2012年浙江省考第128题,选项为:A.85.40% B.84.70% C.83.50% D.82.70%。首位相同,均为8,次位差均小于8(其实存在有一组次位差小于8即可),所以这道题可以看作选项差距小。
(二)运算技巧
根据应用场景的不同,我将运算技巧分为以下几类
①应用最普遍的运算技巧——截位直除法 (最早见于粉笔) 应用场景:除法计算,多位数除以多位数(我称三位数及以上为多位数)
具体操作:
a.截谁?只截分母
b.怎么截?
截两位:从左到右,截两位,第三位四舍五入。比如【999/234.56】,分母截两位就是【999/23】
截三位:从左到右,截三位,第四位四舍五入。比如【999/234.56】,分母截两位就是【999/235】
c.根据选项的特点,怎么用截位直除法 如果选项差距大,那么就四舍五入截两位。 如果选项差距小,那么就四舍五入截三位。
例题8:2008年上海市公务员录用考试《行测》真题第12题
【材料】初步核算,2007年前三季度国内生产总值166,043亿元,同比增长11.5%......第三产业增加值64,358亿元,增长11.0%,加快1.5个百分点。
【问题】2007年前三季度,第三产业的增加值约占前三季度国内生产总值的
A.11% B.39% C.45% D.50%
解:阅读问题,在材料里找到数据之后,看一眼选项,发现选项差距大,那么就把分母截两位,也就是64358/17,很容易口算出结果的首位是3,选B。
例题9:2012年浙江省公务员录用考试《行测》真题第128题
【材料】2010年,我国共投入研究与试验发展(R&D,以下简称R&D)经费7062.6亿元,比上年增长21.7%......试验发展经费5844.3亿元,增长21.7%。
【问题】2010年全国用于试验发展的经费约占全国R&D经费的:
A.85.4% B.84.7% C.83.5% D.82.7%
解:看问题,在材料里找到所需数据之后,看一眼选项,发现选项差距小(选项首位相同,次位差小于首位),那么就把分母截三位,列式5844.3/706,容易算得商的前两位为82,选D。
②多个数加和——高位叠加法、尾数相加减法
高位叠加法 (最早见于花生十三)
应用场景:多个多位数加和
具体操作:按照位数从最高位开始进行加和,然后再叠加(这里肯定看不懂,没关系,看了例题就懂了)
举个栗子,我们要计算这个式子:244.5+70.9+237.7+245.9+362.7+536.7+134.9+181.3 ,别的不说,如果用小学学的方法,把这几个数在草稿纸上抄一遍,用时40s,加上计算,总用时1分30秒。

如果使用高位叠加法,那就很简单了。
第一步:先从最高位百分位入手,百位加和:2+0+2+2+3+5+1+1=16,十位加和:4+7+3+4+6+3+3+8=38,个位加和:4+0+7+5+2+6+4+1=29,十分位(小数点后一位)加和:5+9+7+9+7+7+9+3=56。
第二步: 然后对各个位数的和进行错位叠加,每个数都错开一位,如下图所示。

看到这里,有同学就要问了,高位叠加法快在哪里呢?主要是快在了第一步,大家有没有发现第一步完全可以通过口算完成,你不需要把题目中的每一个数都抄一遍,每算完一个位数和,就在草稿纸上记下那个【和】就可以了,然后再叠加。草稿纸上的运算量只有上图这么一点,所以整个过程是很快的。
高位叠加法好用的地方还不止如此,有时我们并不需要精确加和到最后一位,这个时候我们第一步从高位开始加和,便可以适时停止。
比如上面这道题如果我们只需要对百位和十位进行加和,便足够解题,那么就只需要口算百位加和2+0+2+2+3+5+1+1=16,十位加和:4+7+3+4+6+3+3+8=38。然后进行如下的叠加。

说了那么多,还是上一道真题,更加直观。
例题10:2012年915联考《行测》真题(新疆/福建/重庆/河南)第113题
【材料】2012年我国夏粮生产获得了较好收成。......

【问题】2012年11个主产省(区)夏粮播种面积约占全国播种总面积的:
A.52% B.67% C.71% D.85%
(注:细心的同学可能会发现我前面计算式的数是从这个材料里拿的,但这个材料要加和的数比之前的还多3个,让我们来看看会不会变得更难了呢)
解:阅读问题确定求解对象,在材料里找到数据之后,看一眼选项,发现选项差距大,分母2757可以截两位,得28。分子为11个省(区)夏粮播种面积总和,计算总和使用高位叠加法。口算百位加和2+0+2+2+3+5+1+1+1+0=1=18,十位加和:4+7+3+4+6+3+3+8+2+9+0=49,个位加和:4+0+7+5+2+6+4+1+8+6+8=51。错位相加得2341。比重=2341/28,直接口算得出商的首位为8,选D,正解。

你可以用自己原本的方法尝试一下花了多少时间,再用高位叠加法做一遍,高下立分。
【疑难回答】 问:有些位数加和没有进一,比如162+41+90+203+51+122,百位数加和以及个位数加和都没有进一,怎么错位呢? 答:没有进一得位数和,就在前面添个0,看成两位数,然后进行错位。百位数:1+0+0+2+0+1=04,十位数:6+4+9+0+5+2=26,个位数:2+1+0+3+1+2=09。
尾数相加法 应用场景:求解的是多个数的和或差,并且选项精确到了最后一位,选项尾数各不相同。
具体操作:只需要把多位数的尾数拿出来加和就可以了
例题11:2019年广东省公务员录用考试《行测》真题(乡镇卷)第81题
【材料】过去5年,我国统筹开展交通扶贫和“四好农村路工作”,农村基础设施更加完善,服务乡村振兴成效显著。

【问题】2014~2018年,全国新改建农村公路里程共计( )万公里。
A.77.5 B.97.4 C.117.2 D.137.7
解:选项精确到了最后一位且尾数各不相同,那么只需要尾数相加即可。0+1+3+5+8=17,答案尾数为7,选D。
③增长量计算三部曲——假设法、增长率百化分、基期近似法
增长量计算题出现频率高、计算难度大,是资料分析备考的重中之重。我研究了很久,看了很多课,终于研究了一套系统的快速运算技巧。
假设法 (最早见于花生十三,在本文里我对这个方法的用途加了一些个人的理解)
核心思想:通过假设基期量,不断逼近真实的增长量
具体操作:直接看例题
例题12:2017年422联考《行测》真题(浙江B卷)第114题
【材料】2016年6月份,城镇消费品零售额23082亿元,同比增长10.5%
【问题】求2016年城镇消费品零售额比上年同期增加多少?
A.380亿元 B.2169亿元 C.1193亿元 D.2193亿元
解析: 这道题正常列式应该是【23082/1.105 * 10.5%】,硬算太费时间了。那么使用假设法是怎样的呢? 步骤①,在草稿纸上写下现期量23082作为目标值(如果有小数点则去掉小数点)和增长率10.5%

步骤②,在目标值的左下角,假设一个基期20000,这个【假设基期】一般是整十、整百、整千、整万...的数。然后在现期量的右下角,口算【假设基期】对应的增长量20000*10.5%=2100,写在目标值23082的右下角。

步骤③,将【假设基期】20000和它的增长量2100进行加和,然后与上方的目标23082作差,得到【现期余量】982

步骤④,将【现期余量】982作为新的目标,重复步骤②和③,得到【现期余量】-12.5,说明假设基期为900稍微大了一点,没关系,依然可以继续。

步骤⑤,将【现期余量】-12.5作为新的目标,重复步骤②和③,得到【现期余量】-0.45。到这一步,大家看看右边的三个数加和,2100+94.5-1.05=2193。这个2193就是题目所求的增长量。

你可以按一下计算器,得数是2193.31。假设法得出来的数和计算器算得的数已经没啥区别了,假设法之所以能这么精确,是因为它每一步都在逼近真实值。而且整百整千的数非常方便口算,所以很快。
另外,它还有一个好处,在于可以“点到为止”,即根据选项差距情况,决定在什么时候停止。
比如本题,最接近的两项为B和D,他们在第三位(十位数)的时候出现差别,一个是6,一个是9,那么我们在使用假设法的时候算到下面这一层就可以结束计算了。(因为-12.5的分解已经对增长量的十位数没什么影响了)根据2100+94.5=2194.5,可以选D。

例题13:2011年深圳市公务员录用考试《行测》真题第76题
【材料】......2009年全年国内生产总值335353亿元,比上年增长8.7%。......
【问题】根据2009年国民经济和社会发展统计公报初步核算的结果,2009年全年国内生产总值比上年增加了约:
A.26841亿元 B.26897亿元 C.26954亿元 D.26995亿元
解:明显选项差距小,需要精确计算,对于这种题只能选用假设法了。

真实增长量接近于26100+783-43=26840(43.5中的0.5可以忽略,为了方便计算,个位数和十分位的数都可以随意调整,因为他们对结果影响不大),选A。
(13.5比530小一个量级,所以分解出来的右下角的数也会比43.5小一个量级,所以13.5分解的数只能影响增长量的个位数,对结果的影响无足轻重,所以没必要对13.5进行分解。)
例题14: 2018年421联考《行测》真题(天津卷)第108题
【材料】2017年上半年,全国居民人均可支配收入......人均财产净收入1056元,增长9.6%......
【问题】2017年上半年,人均财产净收入比上年约增加多少元?
A.92 B.102 C.112 D.122
解:选项差距小,谨慎起见,使用假设法。

-40分解的右下角肯定为负数,真实增长量比96小,选A。
增长率百化分
这个方法很简单,就是将增长率X%转化为分数1/N,根据以下的推导,可以得出增长量=现期量/(N+1)。

例题15: 2019年420联考《行测》真题(吉林乙级)第99题
【材料】据统计......2017年全国渔民人均纯收入18452.78元,比上年增长9.16%......
【问题】2017年全国渔民人均纯收入同比增加约为
A.1550元 B.1700元 C.1850元 D.1900元
解:阅读问题确定求解的是增长量,找到数据之后,看一眼选项,发现选项差距小,按理来说是要使用假设法的。但是因为9.16%非常接近于9.1%,也就是1/11。所以使用百化分所得到的增长量的偏差也会很小。那么就列式:18452.78/(11+1)=1537,选A.
讨论:如果上面这道例题,我把增长率改为11.5%,大家看看该怎么做。
例题16:2019年420联考《行测》真题(吉林乙级)第99题(改)
【材料】据统计......2017年全国渔民人均纯收入18452.78元,比上年增长11.5%......
【问题】2017年全国渔民人均纯收入同比增加约为
A.1550元 B.1700元 C.1850元 D.1900元
解:大家会发现,11.5%和11.1%的差距比较大,强行使用百化分,18452.78/(1+9)=1845 ,得到这个数你不知道选C还是D,因为你拿捏不好在把11.5%缩小为11.1%的过程中,增长量究竟被缩小了多少.而事实上,当增长率为11.5%时,增长量应该为1900.
“放缩+百化分”一般不适用于选项差距小的题。这就是为什么我在原例题的解析里说“发现选项差距小,按理来说是要使用假设法的”。
如何熟练使用百化分?
"百化分"理解起来很简单,但是用起来还是有点门槛的,就是你需要熟悉百分数和分数之间的对应关系。

当然,我也已经准备好了应对方法,还记得前面分享的背诵小工具嘛,也可以用来背百分数和分数的对应关系~

基期近似法
这个更简单了,就是在选项差距大,且增长率 x% 满足-5%<x%<5%的时候,可以把现期近似看成基期,然后乘以增长率得出增长量。

例题17:2015年上海市公务员录用考试《行测》真题(A类)第81题
【材料】2014年一季度,上海市规模以上工业总产值为7719.26亿元,同比增长4.0%。规模以上工业销售产值7622.27亿元,同比增长2.1%
【问题】2014年一季度,上海市规模以上工业总产值同比增量比同期销售产值同比增量约多________亿元。
A.70 B.140 C.210 D.280
解:本题我们需要求两个增量,选项差距大,而且增长率都小于5%,所以我们使用基期近似法。上海市规模以上工业总产值同比增量=7719 * 4% =77.19 * 4 ≈ 77 * 4 = 308 ,同期销售产值同比增量= 7622 * 2.1% = 76.22 * 2.1% ≈ 76 * 2.1 = 160,308-160=148,最接近的是B项140,选B,正解 。
增长量计算总结(原创):综上,我们在面对普通增长量计算的时候,可以根据不同的情况选择合适的计算方式:
①当选项差距小时,选择假设法。
②当选项差距大且增长率>5%时,使用百化分。
③当选项差距大且增长率<5%时,使用基期近似法。