ChipView

LPMM阅读笔记(1)

写给自己:

    转眼间我已经工作了两年,在这两年里,为了工作需要我看了很多相关书籍,在我看书的时候都会对自己说等我后面有空的时候要对这本书上的知识点做一个整理和总结,但我发现每次我都只是一如既往地这说说而已,等到书看完了也就仍在一边了,最后充其量拿来当做字典一样使用,不确定/不明白的地方查一下,以至于我现在回过头来问自己两年来到底学会了什么东西的时候,我说不出个123,鉴于此,我决定以后的看书的时候,宁可看第一遍的多花点时间记录一下笔记,然后整理出来,也不要为了暂时的快点把书过一遍而对自己说“等我后面有空的时候要对这本书做一个总结”;这也是我开这个博客的主要原因。

    我会以一种将笔记写给自己的心态来记录,因为笔记都是在我学习的时候写的,所以肯定有很多地方理解的不到位/不透侧,如果你是个行家,看到我理解的不对的地方请帮我指出,我会万分感谢,如果你和我一样也是第一次学习,有不一样的见解,可以和我讨论,我们一起学习,将自己的笔记给大家看到,对我来说也是一种监督,我想这样会使我认真的对待这件事情,也会是我坚持下去的动力,这是我开这个博客的另一个原因。

 ======================================================以下正文=================================================================

 

《Low Power Methodology Manual For System-on-Chip Design》读书笔记

1      引言

1.1  功耗带来的问题

随着芯片的工艺技术缩小到90nm及以下,我们可以在一个相当小的芯片上实现数千万门,但是这也导致芯片的功耗密度和总功耗急剧增大,对芯片后续的设计级应用中的封装和散热都提出了更高的挑战,在一些65nm设计中,漏电流几乎与动态电流一样大;这使得芯片的功耗问题在最近几年越来越被人们所重视。

书中举例提到:

1、一些最强大的微处理器芯片的功耗可达100-150W,平均功耗密度为50-75,芯片上的局部热点可能比这个数字高几倍,总功率密度不仅带来封装和散热难题,它也可能造成可靠性问题。

2、对于电池供电的手持设备而言,芯片的功耗高低则意味着设备的续航时间和电池的寿命长短。

1.2  功耗Vs能量

这一节主要讲的时功耗与能量的区别:如图 1所示:

功耗是指设备中的瞬时功率;能量则是功耗曲线下的面积——功耗随着时间变化的积分。

 

 

图 1功耗Vs 能量

芯片的功耗分为静态功耗和动态功耗两部分,下面进行分别说明;

1.3  动态功耗

动态功耗是电路在工作时(信号的值有变化)的功耗,包含开关功耗和短路功耗;

1.3.1  开关功耗

如图 2所示,当IN = 0时,上面的PMOS导通,下面的NMOS截止;Power对负载电容进行充电,充电完成后,Vout的电平为高。

当IN= 1时,上面的PMOS截止,下面的NMOS导通,负载电容通过NMOS进行放电,放电完成后,Vout的电平为低。

系统工作时,会不停的重复上述开关过程,电源对负载电容进行充电,负载电容进行放电就产生了开关功耗;

 

 

 

图 2开关损耗

 

书上给出了开关功耗Pswitch(书上用Pdyn表示,我在这里改用Pswitch表表示)的计算公式如下所示:

Pswitch Energy transition • CVdd • Ptrans • fclock

在上式中,CL为后级等效电路的负载电容大小,Vdd为电源电压,Ptrans 占空比,fclock为输入信号的翻转频率;

1.3.2  短路功耗

我们在对电路进行分析时,通常会认为信号的翻转是瞬时完成的,但在物理电路上信号的翻转不可能瞬时完成,所以在CMOS电路中就不可能总是一个截止另外一个导通,在控制信号变化期间会出现PMOS和NMOS同时导通的情况,此时电源VDD到地VSS之间相当于短路,便会出现短路电流,如图 3所示:

 

图 3短路功耗

书上给出了短路功耗(我用Pshort表示)的等效计算公式:

Pshort tsc Vdd • peak • fclock

在上式中,tsc是短路电流的持续时间,peak是MOS管内部总电流(短路电流加上充电内部电容所需的电流)。

 

则总的动态功耗Pdyn为:

Pdyn = (CVdd • Ptrans • fclock)+ (tsc Vdd • peak • fclock )

从上面的公式中可以看出降低动态功耗的思路,可以从VddfclockCL这几个变量上出发。基于此会带来一系列设计架构、设计流程、时序分析、电路设计、后端布局方面的考虑,以及由于工艺的发展带来的一系列问题,在后续章节中会详细讲解这些内容。

1.4  静态功耗

静态功耗是在电路上电但没有信号翻转时的功耗,对CMOS电路而言,静态功耗主要是由漏电流导致,漏电流有下面几个部分组成:

  • 亚阈值漏电流

  • 栅极漏电流

  • 栅极和衬底之间的隧道漏电流

  • PN结反向电流

     

     

 

 

图 4漏电流

上述几个电流在电路中的流向如图 4所示,在图4中标注出来的都很好理解,对于Isub我没太看懂,我的理解是当我们在栅极上加电压信号后,栅极与衬底之间会存在电容,因此在栅级与衬底之间就会有电流存在,由此产生功耗,且随着我们的工艺变小,栅极与衬底间的绝缘层会变得越来越薄,栅极和衬底之间的隧道漏电流会变得越来越大;为了加深理解我将上述几个电流对应到NMOS管的结构图上,得到的结果如图 5所示;

 

 

 

图 5漏电流在NMOS中的流向

 

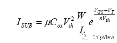
由于亚阈值漏电流对静态功耗的影响较大,仅对亚阈值漏电流进行简单介绍,其余的在此不做介绍;当Vg<Vth时,虽然MOS管没有导通,但是仍会产生从漏极道源极的电流,称该电流为亚阈值漏电流;晶体管的越窄,亚阈值漏电流越大,亚阈值漏电流还与温度增加呈指数增长,亚阈值漏电流可用下面的表达式来表示:

 

 

 

其中,W和L表示晶体管的尺寸,Cox为栅极氧化层的电容值,Vth为晶体管的阈值电压。

书中提到了有下面几种方法可以降低静态功耗:

  • Multi-Vt和power gating,这两种方法后面会详细介绍。

  • VTCMOS(可变阈值CMOS):该方法是在衬底上加上一个反向偏置电压,以增加VT,来减小Isub,但是这样会额外多两个电源网络,增加库的复杂度。

  • Stack Effect:这种方法是采用叠加的gate,加入叠加的gate中有两个输入都是关闭状态,那么流过两个gate的静态电流会很小。在理论上,应该在关闭时钟前将所有gate输入置为关闭状态,但在现实中,这是不可实现的。

  • 长沟道器件(Long ChannelDevices):从的表达式可以看出,增大L,可以减小Isub,但是长沟道器件的动态性差,会降低系统的性能,因此,仅在信号翻转率较低的情况下考虑使用。

 

 

============正文结束===========

扫描下面的二维码,阅读其他章节。

 

 

分类:

技术点:

相关文章:

  • 2022-01-05
  • 2022-12-23
  • 2021-08-06
  • 2021-07-20
  • 2021-08-29
  • 2021-10-26
  • 2021-11-05
  • 2021-10-12
猜你喜欢
  • 2021-06-10
  • 2021-05-18
  • 2021-07-12
  • 2021-10-13
  • 2021-12-02
  • 2021-05-27
  • 2021-11-20
相关资源
相似解决方案