转载之:https://zhuanlan.zhihu.com/p/31345125
示例一:二硬币模型
假设现在有两个硬币A和B,我们想要知道两枚硬币各自为正面的概率啊即模型的参数。我们先随机从A,B中选一枚硬币,然后扔10次并记录下相应的结果,H代表正面T代表反面。对以上的步骤重复进行5次。如果在记录的过程中我们记录下来每次是哪一枚硬币(即知道每次选的是A还是B),那可以直接根据结果进行估计(见下图a)。
但是如果数据中没记录每次投掷的硬币是A还是B(隐变量),只观测到5次循环共50次投币的结果,这时就没法直接估计A和B的正面概率。这时就该轮到EM算法大显身手了,EM算法特别适用于这种含有隐变量的参数求解问题(见下图b)。
含有隐变量的参数求解
先初始化输入参数,如上图1步给了一个初始值0.6(A硬币正面的概率),0.5(B硬币正面的概率)。接下来先进行E步(对隐变量求期望),如上图2步:以第一条数据为例,5H5T,为A的概率为 ,为B的概率
,归一化后得P(A)=0.45,P(B)=0.55,剩下几条数据同理可得。而后通过M-step可计算重新迭代的概率值。如上图第一次迭代后
,循环上面的E、M步骤直至收敛我们就可以得到最终的答案,如上图进过10次迭代后得到了最终的结果。
示例二:三硬币模型
现在我们将上面的二硬币模型扩展为三硬币模型,其实原理基本差不多。假设有三枚硬币A、B、C,这些硬币正面出现的概率分别p,q和 。先抛C硬币,如果C硬币为正面则选择硬币A,反之选择硬币B,然后对选出的硬币进行一组实验,独立的抛十次。共做5次实验,每次实验独立的抛十次,结果如图中a所示,例如某次实验产生了H、T、T、T、H、H、T、H、T、H,H代表正面朝上。
5次实验结果
本人最近也刚学EM算法,下面代码主要参考EM算法及其推广,这里面作者实现了一个两硬币模型的EM算法。本文对其稍做了一点修改,变成三硬币模型。
EM算法步骤:
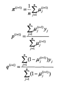
E步:计算在当前迭代的模型参数下,观测数据y来自硬币B的概率:
M步:估算下一个迭代的新的模型估算值
对于这个三硬币模型来说,我们先通过E步(对隐变量求期望)来求得隐变量的参数(即属于哪个硬币),然后再通过M-step来重新估算三个硬币的参数,直至收敛(达到要求)为止。下面是实现三硬币模型的EM算法代码,希望可以更好的帮助理解。
# !usr/bin/env python # -*- coding:utf-8 -*- import numpy as np from scipy import stats def em_single(priors, observations): """ EM算法单次迭代 Arguments --------- priors : [theta_A, theta_B,theta_C] observations : [m X n matrix] Returns -------- new_priors: [new_theta_A, new_theta_B,new_theta_C] :param priors: :param observations: :return: """ counts = {'A': {'H': 0, 'T': 0}, 'B': {'H': 0, 'T': 0}} theta_A = priors[0] theta_B = priors[1] theta_c=priors[2] # E step weight_As=[] for observation in observations: len_observation = len(observation) num_heads = observation.sum() num_tails = len_observation - num_heads contribution_A = theta_c*stats.binom.pmf(num_heads, len_observation, theta_A) contribution_B = (1-theta_c)*stats.binom.pmf(num_heads, len_observation, theta_B) # 两个二项分布 weight_A = contribution_A / (contribution_A + contribution_B) weight_B = contribution_B / (contribution_A + contribution_B) # 更新在当前参数下A、B硬币产生的正反面次数 weight_As.append(weight_A) counts['A']['H'] += weight_A * num_heads counts['A']['T'] += weight_A * num_tails counts['B']['H'] += weight_B * num_heads counts['B']['T'] += weight_B * num_tails # M step new_theta_c = 1.0*sum(weight_As)/len(weight_As) new_theta_A = counts['A']['H'] / (counts['A']['H'] + counts['A']['T']) new_theta_B = counts['B']['H'] / (counts['B']['H'] + counts['B']['T']) return [new_theta_A, new_theta_B,new_theta_c] def em(observations, prior, tol=1e-6, iterations=10000): """ EM算法 :param observations: 观测数据 :param prior: 模型初值 :param tol: 迭代结束阈值 :param iterations: 最大迭代次数 :return: 局部最优的模型参数 """ import math iteration = 0 while iteration < iterations: new_prior = em_single(prior, observations) delta_change = np.abs(prior[0] - new_prior[0]) if delta_change < tol: break else: prior = new_prior iteration += 1 return [new_prior, iteration] # 硬币投掷结果观测序列:1表示正面,0表示反面。 observations = np.array([[1, 0, 0, 0, 1, 1, 0, 1, 0, 1], [1, 1, 1, 1, 0, 1, 1, 1, 1, 1], [1, 0, 1, 1, 1, 1, 1, 0, 1, 1], [1, 0, 1, 0, 0, 0, 1, 1, 0, 0], [0, 1, 1, 1, 0, 1, 1, 1, 0, 1]]) print em(observations, [0.5, 0.8, 0.6])
运行后结果为:
[[0.51392121603987106, 0.79337052912023864, 0.47726196801164544], 42]
从结果我们可以了解到经过42轮迭代,我们最终得出了结果:硬币A正面的概率为0.51392121603987106,硬币B为正面的概率为0.79337052912023864,C硬币正面概率为0.47726196801164544。
至此EM算法的实现就完成了
含有隐变量的参数求解
5次实验结果
