一、总结
一句话总结:
概率是频率随样本趋于无穷的极限
期望是平均数随样本趋于无穷的极限
均值强调当前取少量样本的平均,而期望强调的是无穷性(也就是在无穷样本数取值的预估)
1、为什么说期望就是平均数随样本趋于无穷的极限?
如果我们掷了无数次的骰子,然后将其中的点数进行相加,然后除以他们掷骰子的次数得到均值,这个有无数次样本得出的均值就趋向于期望。
(2(这些值代表点数)+3+3+2.........+5)/(无数次)=均值≈期望
【期望是取值乘概率的和】:$$E ( X ) = \sum _ { k = 1 } ^ { \infty } x _ { k } p _ { k }$$
2、为什么我们容易把均值当成期望?
比如对一些均匀分布,比如抛硬币,期望为0.5,抛无限次后,均值也会是0.5
期望是平均数随样本趋于无穷的极限
3、就算对于均匀分布,均值的期望也不一样?
比如掷骰子,抛5次,分别为4,3,6,1,6。均值是 (4+3+6+1+6)/5,而期望是(1+2+3+4+5+6)/6,可以看到除的分母都不一样,均值中表示次数,期望中表示均匀分布的概率
期望是平均数随样本趋于无穷的极限
二、均值和期望一样吗
转自或参考:期望和均值的区别 - 知乎
https://zhuanlan.zhihu.com/p/34150914
期望和均值原来容易会弄混,但其实他们是完全不同的概念,那么分别来介绍均值和期望看看他们的不同点。
一、均值
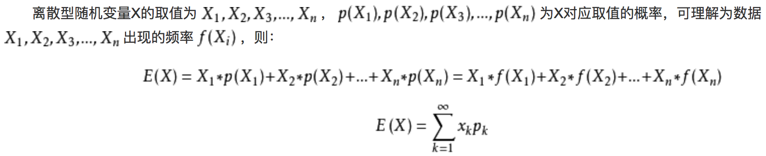
均值,其实是针对实验观察到的特征样本而言的。比如我们实验结果得出了x1,x2,x3…..xn这n个值,那么我们的均值计算是
比如我们进行掷骰子,掷了六次,点数分别为2,2,2,4,4,4,这六次的观察就是我们的样本,于是我们可以说均值为(2+2+2+4+4+4)/6=3。但是千万不能说期望是3,说概率是3就明显的弄混了均值和期望的概念,下面解释一下期望的概念。
二、期望
期望是针对于随机变量而言的一个量,可以理解是一种站在“上帝视角”的值。针对于他的样本空间而言的。
均值是一个统计量(对观察样本的统计),期望是一种概率论概念,是一个数学特征。
首先给出定义公式
那么上面那个掷骰子例子对应的期望求法如下:
可以看出期望是与概率值联系在一起的,如果说概率是频率随样本趋于无穷的极限 ,期望就是平均数随样本趋于无穷的极限,可以看出均值和期望的联系也是大数定理联系起来的。
三、例子
上面说到期望就是平均数随样本趋于无穷的极限,那么这句话是什么意思呢?
我们还是以上面的掷骰子为例子:
如果我们掷了无数次的骰子,然后将其中的点数进行相加,然后除以他们掷骰子的次数得到均值,这个有无数次样本得出的均值就趋向于期望。类似于下面这样:
四、总结
概率是频率随样本趋于无穷的极限
期望是平均数随样本趋于无穷的极限

