作者:张欣
链接:https://www.zhihu.com/question/23765351/answer/98897364
来源:知乎
著作权归作者所有,转载请联系作者获得授权。
链接:https://www.zhihu.com/question/23765351/answer/98897364
来源:知乎
著作权归作者所有,转载请联系作者获得授权。
softmax 回归(Softmax Regression) 这里解释的很详细,简单总结下:
softmax模型是logistic模型在多分类问题上的推广, logistic 回归是针对二分类问题的,类标记为{0, 1}。
假设函数为:
。
代价函数为:
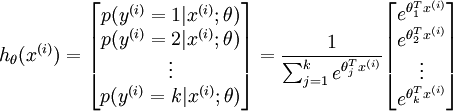
在softmax模型中,label可以为k个不同的值
。
对于给定的测试输入
,我们想用假设函数针对每一个类别j估算出概率值
。
假设函数将输出一个k维的向量

请注意
这一项对概率分布进行归一化,使得所有概率之和为 1 。
代价函数为:
其中:1{值为真的表达式}=1 为示性函数。
如果类别之间是互斥的,适合用softmax;如果类别之间允许重叠,应该选择k个logistic分类器。
softmax模型是logistic模型在多分类问题上的推广, logistic 回归是针对二分类问题的,类标记为{0, 1}。
假设函数为:
代价函数为:

在softmax模型中,label可以为k个不同的值
对于给定的测试输入
假设函数将输出一个k维的向量

请注意
代价函数为:
其中:1{值为真的表达式}=1 为示性函数。如果类别之间是互斥的,适合用softmax;如果类别之间允许重叠,应该选择k个logistic分类器。