适用任务
中文分词、词性标注、命名实体识别是自然语言理解中,基础性的工作,同时也是非常重要的工作。
在很多NLP的项目中,工作开始之前都要经过这三者中的一到多项工作的处理。
在深度学习中,有一种模型可以同时胜任这三种工作,而且效果还很不错--那就是biLSTM_CRF。
biLSTM,指的是双向LSTM;CRF指的是条件随机场。
一些说明
以命名实体识别为例,我们规定在数据集中有两类实体,人名和组织机构名称。
在数据集中总共有5类标签:
B-Person (人名的开始部分)
I- Person (人名的中间部分)
B-Organization (组织机构的开始部分)
I-Organization (组织机构的中间部分)
O (非实体信息)
此外,假设x 是包含了5个单词的一句话(w0,w1,w2,w3,w4)。
在句子x中[w0,w1]是人名,[w3]是组织机构名称,其他都是“O”。
BiLSTM-CRF 模型
先来简要的介绍一下该模型。
如下图所示:
首先,句中的每个单词是一条包含词嵌入和字嵌入的词向量,词嵌入通常是事先训练好的,字嵌入则是随机初始化的。所有的嵌入都会随着训练的迭代过程被调整。
其次,BiLSTM-CRF的输入是词嵌入向量,输出是每个单词对应的预测标签。
如下图所示,BiLSTM层的输入表示该单词对应各个类别的分数。如W0,BiLSTM节点的输出是1.5 (B-Person), 0.9 (I-Person), 0.1 (B-Organization), 0.08 (I-Organization) and 0.05 (O)。这些分数将会是CRF层的输入。 所有的经BiLSTM层输出的分数将作为CRF层的输入,类别序列中分数最高的类别就是我们预测的最终结果。
如果没有CRF层会是什么样
即使没有CRF层,我们照样可以训练一个基于BiLSTM的命名实体识别模型,如下图所示。
因为BiLSTM模型的结果是单词对应各类别的分数,我们可以选择分数最高的类别作为预测结果。如W0,“B-Person”的分数最高(1.5),那么我们可以选定“B-Person”作为预测结果。同样的,w1是“I-Person”, w2是“O”,w3是 “B-Organization” ,w4是 “O”。
尽管我们在该例子中得到了正确的结果,但实际情况并不总是这样:
显然,这次的分类结果并不准确。
CRF层可以学习到句子的约束条件
CRF层可以加入一些约束来保证最终预测结果是有效的。这些约束可以在训练数据时被CRF层自动学习得到。
可能的约束条件有:
- 句子的开头应该是“B-”或“O”,而不是“I-”。
- “B-label1 I-label2 I-label3…”,在该模式中,类别1,2,3应该是同一种实体类别。比如,“B-Person I-Person” 是正确的,而“B-Person I-Organization”则是错误的。
- “O I-label”是错误的,命名实体的开头应该是“B-”而不是“I-”。
有了这些有用的约束,错误的预测序列将会大大减少。
CRF 层
CRF层中的损失函数包括两种类型的分数,而理解这两类分数的计算是理解CRF的关键。
1 Emission score
第一个类型的分数是发射分数(状态分数)。这些状态分数来自BiLSTM层的输出,在这里就是word预测为某个标签的概率。如下图所示,w0被预测为B-Person的分数是1.5.
为方便起见,我们给每个类别一个索引,如下表所示:
Xiyj代表状态分数,i是单词的位置索引,yj是类别的索引。根据上表,
表示单词w1被预测为B−Organization的分数是0.1。
2 转移分数
用tyiyj来表示转移分数。例如,tB−Person,I−Person=0.9表示从类别B−Person→I−Person的分数是0.9。因此,有一个所有类别间的转移分数矩阵。
为了使转移分数矩阵更具鲁棒性,我们加上START 和 END两类标签。START代表一个句子的开始(不是句子的第一个单词),END代表一个句子的结束。
下表是加上START和END标签的转移分数矩阵。
如上表格所示,转移矩阵已经学习到一些有用的约束条件:
- 句子的第一个单词应该是“B-” 或 “O”,而不是“I”。(从“START”->“I-Person 或 I-Organization”的转移分数很低)
- “B-label1 I-label2 I-label3…”,在该模式中,类别1,2,3应该是同一种实体类别。比如,“B-Person I-Person” 是正确的,而“B-Person I-Organization”则是错误的。(“B-Organization” -> “I-Person”的分数很低)
- “O I-label”是错误的,命名实体的开头应该是“B-”而不是“I-”。
要怎样得到这个转移矩阵呢?
实际上,转移矩阵是BiLSTM-CRF模型的一个参数。在训练模型之前,你可以随机初始化转移矩阵的分数。这些分数将随着训练的迭代过程被更新,换句话说,CRF层可以自己学到这些约束条件。
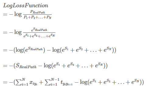
CRF损失函数
CRF损失函数由两部分组成,真实路径的分数 和 所有路径的总分数。真实路径的分数应该是所有路径中分数最高的。
例如,数据集中有如下几种类别:
一个包含5个单词的句子,可能的类别序列如下:
- 1. START B-Person B-Person B-Person B-Person B-Person END
- 2. START B-Person I-Person B-Person B-Person B-Person END
- …..
- 10. START B-Person I-Person O B-Organization O END
- N. O O O O O O O
每种可能的路径的分数为Pi,共有N条路径,则路径的总分是

如果第十条路径是真实路径,也就是说第十条是正确预测结果,那么第十条路径的分数应该是所有可能路径里得分最高的。
根据如下损失函数,在训练过程中,BiLSTM-CRF模型的参数值将随着训练过程的迭代不断更新,使得真实路径所占的比值越来越大。
现在的问题是:
- 怎么定义路径的分数?
- 怎么计算所有路径的总分?
- 当计算所有路径总分时,是否需要列举出所有可能的路径?(答案是不需要)
真实路径分数
计算真实路径分数,eSi,是非常容易的。
我们先集中注意力来计算Si:
以“START B-Person I-Person O B-Organization O END”这条真实路径来说:
句子中有5个单词,w1,w2,w3,w4,w5,加上START和END 在句子的开始位置和结束位置,记为,w0,w6
Si = EmissionScore + TransitionScore
这些分数来自BiLSTM层的输出,至于x0,START 和x6,END ,则设为0。
这些分数来自于CRF层,将这两类分数加和即可得到Si 和 路径分数eSi
所有路径的总分
如何计算所有路径的总分呢?以一个玩具的例子详细讲解。
Step 1
我们定义的损失函数如下:
现在我们把它变成对数损失函数:
训练目标通常是最小化损失函数,加负号:
前面我们已经很清楚如何计算真实路径得分,现在我们需要找到一个方法去计算
Step 2:回忆一下状态分数 和 转移分数
为了简化问题,假定我句子只有3个单词组成:
X = [w0, w1 ,w2]
只有两个类别:
LabelSet = {l1, l2}
状态分数如下:
转移矩阵如下:
Step 3:
目标是:
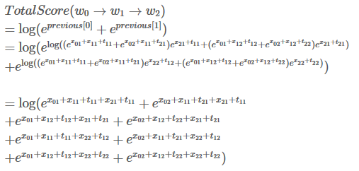
整个过程是一个分数的积聚过程。它的实现思想有点像动态规划。首先,w0所有路径的总分先被计算出来,然后,计算w0 -> w1的所有路径的得分,最后计算w0 -> w1 -> w2的所有路径的得分,也就是我们需要的结果。
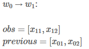
接下来,会看到两个变量:obs和 previous。Previous存储了之前步骤的结果,obs代表当前单词所带的信息。
如果句子只有一个单词,就没有之前步骤的结果,所以Previous 是空。只能观测到状态分数 obs =【x01,x02】
W0 的所有路径总分就是:
为啥要扩展previous 和 obs 矩阵呢?因为这样操作可以是接下来的计算相当高效。
实际上,第二次迭代过程也就完成了。
发现了吗,这其实就是我们的目标,
读到这边,差不多就大功告成了。这一步,我们再重复一次之前的步骤。
跟上一步骤一样,用新的previous计算总分:
们最终得到了我们的目标,
,我们的句子中共有3个单词和两个类别,所以共有8条路径。
biLSTM_CRF模型在tensorflow中的实现。
python 3.6
tensorflow 1.2
本文GITHUB 欢迎Star和Fork。
使用同样方法,构造的中文分词。中文分词GITHUB
正文
1.数据预处理
2.模型构建
3.模型训练与测试
4.模型验证
5.总结
1.数据预处理
首先是将预测数据进行处理,转成模型能够识别的数字。

数据是以列形式存储,截图翻转了一下。
我从训练文本中,抽取频数在前5000的字,实际只抽取到了4830左右个字。加入'<PAD>','<UNK>','<NUM>',分别表示填充字符,未知字符,数字字符。一起存入字典。

标签同样也有对应的字典。
# 将tag转换成数字
tag2label = {"O": 0, "B-PER": 1, "I-PER": 2, "B-LOC": 3, "I-LOC": 4, "B-ORG": 5, "I-ORG": 6}
依据字典与标签字典,将文字与标签分别转成数字。第一行是文本,第二行是标签。

下一步是生成batch的操作。
生成batch后,需要对batch内句子padding到统一的长度,并计算每句的真实长度。
2.模型构建
采用双向LSTM对序列进行处理,将输出结果进行拼接。输入shape[batch,seq_Length,hidden_dim],输出shape[batch,seq_length,2*hidden_dim]。
with tf.name_scope('biLSTM'):
cell_fw = tf.nn.rnn_cell.LSTMCell(pm.hidden_dim)
cell_bw = tf.nn.rnn_cell.LSTMCell(pm.hidden_dim)
outputs, outstates = tf.nn.bidirectional_dynamic_rnn(cell_fw=cell_fw, cell_bw=cell_bw,inputs=self.embedding,
sequence_length=self.seq_length, dtype=tf.float32)
outputs = tf.concat(outputs, 2)#将双向RNN的结果进行拼接
#outputs三维张量,[batchsize,seq_length,2*hidden_dim]
我们从本文的第一幅图中,可以看出,整个biLSTM完整的输出格式是[batch,seq_length,num_tag]。num_tag是标签的数量,本实验中是标签数量是7。所以我们需要一个全连接层,将输出格式处理一下。
with tf.name_scope('output'):
s = tf.shape(outputs)
output = tf.reshape(outputs, [-1, 2*pm.hidden_dim])
output = tf.layers.dense(output, pm.num_tags)
output = tf.contrib.layers.dropout(output, pm.keep_pro)
self.logits = tf.reshape(output, [-1, s[1], pm.num_tags])
self.logits就是需要输入CRF层中的数据。代码的第三行,对output的变形,表示将[batch,seq_length,2hidden_dim]变成[batchseq_length,2*hidden_dim],最后处理时再变形为[batch,seq_length,num_tag]。
下面就是CRF层的处理:
with tf.name_scope('crf'):
log_likelihood, self.transition_params = crf_log_likelihood(inputs=self.logits, tag_indices=self.input_y, sequence_lengths=self.seq_length)
# log_likelihood是对数似然函数,transition_params是转移概率矩阵
#crf_log_likelihood{inputs:[batch_size,max_seq_length,num_tags],
#tag_indices:[batchsize,max_seq_length],
#sequence_lengths:[real_seq_length]
#transition_params: A [num_tags, num_tags] transition matrix
#log_likelihood: A scalar containing the log-likelihood of the given sequence of tag indices.
这一步,是调用from tensorflow.contrib.crf import crf_log_likelihood函数,求最大似然函数,以及求转移矩阵。最大似然函数前加上"-",可以用梯度下降法求最小值;
with tf.name_scope('loss'):
self.loss = tf.reduce_mean(-log_likelihood) #最大似然取负,使用梯度下降
转移矩阵可以帮助维特比算法来求解最优标注序列。
def predict(self, sess, seqs):
seq_pad, seq_length = process_seq(seqs)
logits, transition_params = sess.run([self.logits, self.transition_params], feed_dict={self.input_x: seq_pad,
self.seq_length: seq_length,
self.keep_pro: 1.0})
label_ = []
for logit, length in zip(logits, seq_length):
#logit 每个子句的输出值,length子句的真实长度,logit[:length]的真实输出值
# 调用维特比算法求最优标注序列
viterbi_seq, _ = viterbi_decode(logit[:length], transition_params)
label_.append(viterbi_seq)
return label_
3.模型训练与测试
训练时,共进行12次迭代,每迭代4次,将训练得到的结果,保存到checkpoints;loss的情况,保留到tensorboard中;每100个batch,输出此时的训练结果与测试结果。

模型的loss由最初在训练集54.93降到2.29,在测试集上由47.45降到1.73。我们看下,保存的模型在验证集上的效果。
4.模型验证
我从1998年的人民网的新闻素材中,随机抽取了几条语句。

ORG表示组织名词,LOC表示地理名词,PER表示人名。从验证结果上看,模型在命名实体识别上,效果还可以。
对句子的单词词性做预测
Step 1:BiLSTM-CRF模型得到的发射分数和转移分数
假定我们的句子共3个单词组成:
并且,我们已经从我们的模型中得到了发射分数和转移分数,如下:
转移矩阵:
Step 2:开始预测
如果你熟悉Viterbi算法,理解这一步的知识点将会非常容易。当然,如果你不熟悉也无所谓,整个预测过程和之前求所有路径总分的过程非常类似。我将逐步解释清楚,我们先从左到右的顺序来运行预测算法。
你将会看到两类变量:obs 和 previous。Previous存储了上一个步骤的最终结果,obs代表当前单词包含的信息(发射分数)。
Alpha0 是历史最佳的分数 ,alpha1 是最佳分数所对应的类别索引。这两类变量的详细信息待会会做说明。先来看下面的图片:你可以把这两类变量当做狗狗去森林里玩耍时在路上做的标记,这些标记可以帮助狗狗找到回家的路。
现在,我们来观测第一个单词W0,很显然,W0所对应的最佳预测类别是非常容易知道的。比如,如果
,显然,最佳预测结果是l2。
看到这里,你可能好奇这跟之前求所有路径分数的算法没什么区别,别急,你马上就会看到不同之处啦!
在下一次迭代前更改previous的值:max!
举个例子,如果我们的得分如下:
那么我们的previous应该是:
这是什么意思呢?其实也就是说previous存储的是当前单词对应各类别的最佳路径得分。W1被预测为L1类别的最高分是0.5,路径是L2->L1,W1被预测为L2类别的最高分是0.4,路径是L2->L2。
这边,我们有两个变量来储存历史信息,alpha0 和 alpha1.
在本次迭代中,我们将最佳分数存储到alpha0 :
同时,最佳分数所对应的类别索引存储到alpha1:
类别L1的索引是0,L2的索引是1,所以(1,1)=(L2,L2)。表示当前最佳分数0.5对应的路径是L2->L1,最佳分数0.4对应的路径是L2->L2。(1,1)可以理解为前一单词分别对应的类别索引。
上面scores有错误,应该是0.5+x21+t11 等
更改previous的值:
假如我们的得分是:
现在我们的previous是:
现在,我们选取previous[0] 和previous[1]中最大的分数作为最佳路径。也就是0.9对应的路径是我们的预测结果。
同时,每个类别对应的最大得分添加到alpha0 和 alpha1中:
Step 3:根据最大得分找到最佳路径
这是最后一步,alpha0 和 alpha1将被用来找到最佳路径。
先看alpha0,alpha0中最后一个单词对应的类别得分分别是0.8 和 0.9,那么0.9对应的类别L2就是最佳预测结果。再看alpha1,L2对应的索引是0, “0”表示之前一个单词对应的类别是L1,所以W1-W2的最佳路径是: L1->L2
接着往前推,alpha1=(1,1),我们已经知道W1的预测结果是L1,对应的索引是0,(1,1)[0] = 1,所以W0对应的类别是L2。
所以我们预测的最佳路径是 L2-> L1 -> L2 。

















































