大多数人在高中,或者大学低年级,都上过一门课《线性代数》。这门课其实是教矩阵。
刚学的时候,还蛮简单的,矩阵加法就是相同位置的数字加一下。
矩阵减法也类似。
矩阵乘以一个常数,就是所有位置都乘以这个数。
但是,等到矩阵乘以矩阵的时候,一切就不一样了。
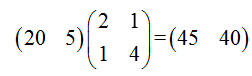
这个结果是怎么算出来的?
教科书告诉你,计算规则是,第一个矩阵第一行的每个数字(2和1),各自乘以第二个矩阵第一列对应位置的数字(1和1),然后将乘积相加( 2 x 1 + 1 x 1),得到结果矩阵左上角的那个值3。
也就是说,结果矩阵第m行与第n列交叉位置的那个值,等于第一个矩阵第m行与第二个矩阵第n列,对应位置的每个值的乘积之和。
怎么会有这么奇怪的规则?
我一直没理解这个规则的含义,导致《线性代数》这门课就没学懂。研究生时发现,线性代数是向量计算的基础,很多重要的数学模型都要用到向量计算,所以我做不了复杂模型。这一直让我有点伤心。
前些日子,受到一篇文章的启发,我终于想通了,矩阵乘法到底是什么东西。关键就是一句话,矩阵的本质就是线性方程式,两者是一一对应关系。如果从线性方程式的角度,理解矩阵乘法就毫无难度。
下面是一组线性方程式。
矩阵的最初目的,只是为线性方程组提供一个简写形式。
老实说,从上面这种写法,已经能看出矩阵乘法的规则了:系数矩阵第一行的2和1,各自与 x 和 y 的乘积之和,等于3。不过,这不算严格的证明,只是线性方程式转为矩阵的书写规则。
下面才是严格的证明。有三组未知数 x、y 和 t,其中 x 和 y 的关系如下。
x 和 t 的关系如下。
有了这两组方程式,就可以求 y 和 t 的关系。从矩阵来看,很显然,只要把第二个矩阵代入第一个矩阵即可。
从方程式来看,也可以把第二个方程组代入第一个方程组。
上面的方程组可以整理成下面的形式。
最后那个矩阵等式,与前面的矩阵等式一对照,就会得到下面的关系。
矩阵乘法的计算规则,从而得到证明。
矩阵乘法的本质是什么?
作者:知乎用户
链接:https://www.zhihu.com/question/21351965/answer/31050145
来源:知乎
著作权归作者所有。商业转载请联系作者获得授权,非商业转载请注明出处。
作者:知乎用户
链接:https://www.zhihu.com/question/21351965/answer/31050145
来源:知乎
著作权归作者所有。商业转载请联系作者获得授权,非商业转载请注明出处。
本题目前下面的解释都是线性代数教材上的各种定义,但都太过复杂了。我尝试写一个浅显的解释:
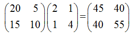
小明今天要做饭,消耗2斤肉,1斤蔬菜。肉每斤20元,蔬菜每斤5元,则一共需多少花费?
这个问题的答案很简单:

我们用向量相乘的方法写出来:


小明有一天成为了餐厅大厨,小红做掌柜兼管算账。我们假设物价不变。小红发现,如果今天买10斤肉花了A元,明天买20斤肉就得花2A元。如果买一斤肉要花C元,买1斤菜要花D元,那么买一斤肉和一斤菜就要花(C+D)元。每天小明汇报今日的材料消耗之后,小红便会将材料消耗转为需要花的钱数。如果材料消耗翻倍,花的钱数也翻倍。另外,如果去不同的菜市场,也会得到不同的花钱数量。
小明每月送来一张长列表,里面是每日的材料消耗;而经过小红的处理,这张列表会转为每日,在不同的菜市场购买这些材料的花费。材料消耗翻倍,花费也翻倍。我们管这种从材料列表转为开销表的过程,就叫做一个线性映射。这也即是矩阵乘法的意义。
最后补充一点。线性代数的引入方式因教材不同而不同。从代数学自身的体系来讲,可能从线性空间引入是相对完备的;但是从一般我们学习知识的理解顺序来讲,从线性方程组引入最为合适。因为只要还记得鸡兔同笼,就很容易理解线性方程组,从而推广到矩阵,然后是线性变换,线性空间。按这样顺序讲授的教材推荐华章数学译丛的:线性代数.原书第8版.Leon.S.J.著.张文博译.机械工业出版社.2010