前言:对于理工科学生而言,公式输入必不可缺。LaTeX相比Word,在公式输入及排版方面更强大。但是对于轻量级的任务,用Word而言更加轻便(起码不用码代码甚至debug了...)。因此,在Word中找到最有效的公式输入方法非常重要。本文基于知乎回答及本人实践,总结出一些经验,希望能共同提高公式输入的效率。
01 Word内嵌公式
在Word中输入Alt+=,可以打开Word中自带公式编辑器。这个编辑器似乎没有什么特别,但其实Word2010以后是支持LaTeX语法的。常用规则如下:
● 分号: a/b【空格】,
● 极限:\limit【空格】
● 积分:\int【空格】
● 求和:\sum【空格】
● 上下标:下标为_, 上标为^
● 希腊字母:\【希腊字母英文拼写】【空格】
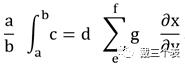
效果如下:
这未免太丑,需要调♂ 教一番:
1. 设置默认打开为斜体
用强大的宏来实现。在Word界面中选择视图→宏,输入宏名为InsertItalicEqua(其他亦可)。创建,将以下代码粘贴到编辑器中:
Sub InsertItalicEqua()
Selection.OMaths.Add Range:=Selection.Range
Selection.OMaths(1).ConvertToMathText
Selection.OMaths(1).ConvertToMathText
End Sub
然后保存并关闭。
接下来用一个快捷键指向这个宏。点击文件→选项→自定义功能区,点击“键盘快捷方式:自定义”。
下拉左侧栏,找到“宏”。
选择“宏”后在右侧栏中找到刚才保存的宏(名称为InsertItalicEqua),为它分配一个快捷键。具体由个人喜好而定,但不可与已有快捷键冲突。
指定快捷键后保存,关闭各窗口。此时再在Word中按下快捷键就可以出现默认为斜体的公式编辑器。
将最开始输入的公式改为斜体后如下图:
终于能看了点,关键是不用每次自己手动改斜体了。
2. 更改默认字体
公式编辑器默认字体为Cambria Math。这是微软专门为公式编辑设计的字体,他们认为这种字体可以兼顾不同公式,不同字体,不同版式的需要。但是微软工程师的审美可能与大众相差较远。最好能改为Latin Modern Math。对比下两种字体:
Latin Modern Math给人的感觉就是更“数学”,而且LaTeX里也是默认用的此字体。
以下为更改方法:
①下载Latin Modern Math并安装
下载地址:The Latin Modern Math (LM Math) font
下载完后点击OTF文件即可安装。
②更改默认字体
打开公式编辑器,此时在Word界面中的最上面一栏中出现“公式工具”,点击图中红色圈出项:
点击后界面如下(公式选项)。点击“默认值”,再将默认字体改为Latin Modern Math,最后确定。这时就成功将默认字体更改了。
/**************2018年1月16日作死更新**************/
02 MathType
虽然这款编辑器在知乎被严重鄙视,但是MathType的易用性还是很强的!
不要用中文版的MathType!
不要用中文版的MathType!!
不要用中文版的MathType!!!
重要的事情说三遍。至于为什么,嘻嘻,中文版的被国内某公司代理了,以至于你没法“好好”使用。bing下Mathtype,你就能找到国外的官网:
MathType - Equation Editor
下载了以后你就可以免费试用30天。那到期了怎么办?bing吧(关键词你懂得~)。
为什么我也推荐使用MathType呢?一是因为某些低版本的Word也支持MathType(我曾经上交了用Word2016写的内嵌公式的作业,结果助教用低版本的打开乱码...),二是其实MathType也是支持LaTex语法的,这样会便利不少。使用方法如下:
点开上图的Preferences,选择workspace preferences,勾选下图红框:
保存了以后就可以复制LaTex代码进去,然后自动得到公式!甚至我尝试过\begin{align}和\begin{matrix}这样的环境也是支持的,输入多行公式和矩阵也不在话下~
可以尝试复制下面代码:
\mathbf{A}=
\left[
\begin{matrix}
1 & 2 & 3 \\
4 & 5 & 6 \\
7 & 8 & 9 \\
\end{matrix}
\right]
粘贴进公式框结果如下:
当前也可以手敲LaTeX代码然后回车,但是这样小公式还好,大公式难免出错,改起来有点麻烦。我是在Sublime里安装LaTeX公式预览器,敲完公式预览无错后再粘贴~
综合参考:
word插入公式不自动斜体的解决办法 - 开飞机的小毛驴儿 - 博客频道 - CSDN.NET请问有什么方法能在MS Word 的公式中使用AMSmath的字体吗?
作者:江可 - 知乎

