如何在论文中画出漂亮的插图?
2016-04-13 21:05 GarfieldEr007 阅读(5396) 评论(0) 编辑 收藏 举报来自知乎大神的干货:http://www.zhihu.com/question/21664179
问题:
如何在论文中画出漂亮的插图?
经常看到别人论文中画出各种绚烂的插图,我想知道这些图都是用一些什么样的软件画出来的。比如下面给出的几张,好吧,我承认有的并不那么绚烂,但用什么样的软件比较合适呢?具体答案可以拓展到更为广远的作图领域。





大神们的回答:
地铁风,不会撸程序的设计狮不是好科研狗
高能预警!!!多图杀猫!!!我是认真的!!!
首先发个链接:http://www.bugman123.com/index.html 这哥们的 visualization 能力完爆所有答案(包括我的)加起来,实在是牛逼……
==
这题目都给写成这样了,我就不指望赞了。你们就当福利好了。
这个回答里的图都是我自己画的,盗图必…… 算了你们想拿去玩就拿去吧……
看到这个问题的时候我有点纠结问题里的最后一张图是怎么画的,不过仔细看了一下我觉得应该是二维空间里画的。所以 Asymptote 和 Metapost 都可以。
对了补充一点,在我的另一个回答里(当别人问你的研究有什么实际价值的时候,你是怎么回答的?), 我提到对于科研的价值,科研圈和大众的定义是不一样的。对于“漂亮的插图”也是一样。君不见大众媒体里少有数据图,就算有也是寥寥几笔,fancy 为主,使用符合当前大众审美的风格(比如现在是扁平、极简),测量从来不画 errorbar,甚至极简风格的连坐标轴都不画,一条颜色风骚的曲线牛逼闪闪。对于大众来说,看起来牛逼、fancy 才是漂亮。但是在科研圈里显然不是这样,而且不同的学科之间对图的严谨、清晰程度的要求也不一样。所以单纯地说一个插图“漂亮”其实没什么意义。
——————————————
正文:
我觉得这个问题让我答简直太合适了…… 只要是用来画图的玩意我基本都用过,也都会。这个回答主要介绍工具,为什么不说方法呢?因为感觉好像没什么好说的,你觉得什么地方难看,改一下就行了啊…… 从最简单的开始吧。
Matlab, Mathematica 和 R 就不说了。
Python 有个著名的库叫 Matplotlib, 主要用来数据作图,但本身带有层次较低的 API, 原则上可以用来画任意种类的图。这玩意自带 TeX 数学语法。数据作图效果这样:


丧病一点可以这样:
这种牛逼闪闪的等高线也是小意思~~


这么多点也是没问题的:

这玩意极其的灵活,比如 Mathematica 有个功能就是画函数曲线的时候自动选择合适的采样率,斜率或者曲率比较大的地方会自动使用高采样率。于是我在 Python 里也实现了一个,这样就可以用 Matplotlib 无脑画函数曲线了,比如这样:
Gnuplot. 纯画图方面与 Matplotlib 不相上下,优点是快,超级快。图就不放了,和 Matplotlib 差不多。
Metapost. 脱 离菜鸟级以后,我们离开了 API 和程序的地盘,开始撸绘图语言。首先当然要介绍大名鼎鼎的 Metapost. 这货的历史最早要追溯到 Knuth 大神设计的 Metafont, 但是 Metafont 是用来制作字体的,于是一帮人仿照 Metafont 设计了通用绘图语言 Metapost. 写程序画图相对于使用 GUI 工具来说最大的好处就是可以精确地控制,和自动化。这种绘图语言尤其适合画示意图。还是上图吧……






费曼图什么的简直就是不在话下…… 其实我是不太明白为什么有些软件画出的费曼图那么难看的……


然后这是我用 Metapost 给我的统计力学笔记撸的封面:

Asymptote. 有一小撮人用 Metapost 不爽,毕竟语法太古老了,于是搞出了类 C++ 语法的面向对象语言 Asymptote, 也是醉了…… 除了写出来比 metapost 好看一些意外,基本上差不多:



初中几何题都是可以的。

这玩意比较逆天的功能是 3D 矢量作图~~ 你看我这么一比划,你不就知道面心立方
的晶胞是什么样的了么~~
继续
嗯,还有好多图懒得找了,Asymptote 就先这样吧。
……
……
……
<更新 2016-01-22>
最近又折腾了一下传说中的 D3.js. 这个东西的核心实际上是一套 selector 实现和把数据绑定到 DOM 上的机制,非常紧凑。然后 HTML 的 DOM 里可以包含 SVG, 这就很好玩了。
我试了一下数据作图

然后顺便撸了个 Game of Life, 你们可以玩玩~~ (暂不支持移动端……),长这样:

看 上去挺好用,对吧?但是!!这个东西其实并不是特别适合给论文出图,原因是你用的时候需要把 SVG 保存下来。SVG 是 DOM 的一部分,一般只能用 Javascript 把 SVG 序列化,然后抛出一个文件让你在浏览器里下载,或者打开一个新窗口你手动另存为什么的,这不是关键,关键是我们写 SVG 的时候经常会用 CSS 来指定样式,这样如果你需要所有的线都粗一点,只要改下 CSS 就好,不用碰逻辑。然而你序列化 SVG 的时候是没法同时序列化 CSS 的(吧?)……………………………………
</更新>
这 个级别的工具当之无愧地给了 Postscript 这个基于堆栈的底层页面描述语言,这个语言是如此的强大,以至于 Adobe 后来不得不发展了简化版(更易于实现):EPS 和 PDF. 这个语言的神奇之处就是它底层到用户几乎忘了它的存在,但同时它写起来却不是很费劲。如果你玩过 RPN 计算器,就很容易理解 PS 的逻辑。这玩意最大的好处它的语法十分简单,无论你用什么语言来计算,都可以方便地生成 PS 代码,而不需要考虑你用的语言是否有好用的绘图 API. 比如我之前玩元胞自动机的时候就可以用计算的代码直接生成图形:
放大一点可以看到我在图上直接写了格点的编号,方便调试~~

最后这个级别主要是给一些特殊用途的工具。
Graphviz. 这是一个图可视化工具包,可以可视化各种无向图和有向图。前几天我刚刚用它画过一个流程图:

Blender. 这是一个自由的通用 3D 建模/着色/渲染/动画套件,我基本上是看着它一点点从一个土了吧唧的山寨三维软件逐渐进化成现在 Maya 级别的 3D 套件的。你们都在 Nature 杂志上见过那种很漂亮很 Fancy 但其实没什么用的三维渲染图对吧?我只能说…… 他们如果雇我画图的话会更漂亮更 fancy…
不过在放 fancy 图以前,先放个看起来不那么 fancy 的:
画这个图以前我以为在 Blender 里面放几个立方体几个球打开卡通渲染就行了……
……
……
……
我简直就是拿衣服。这货最后用了三个渲染层才搞定…… 如果有人知道更简单的方法请告诉我……
下面放 fancy 图~~
小清新洛伦兹吸引子:




小清新某分子:
这张图的源文件(分子略不同,注意有三个 scenes 需要渲染):https://drive.google.com/file/d/0B9ybmL_hSiV-U2NBQUxCLXJ4ejQ/view?usp=sharing

嗯,就先这样吧~~ 想起什么再更新……
更新:
Pov-ray: 好像还没有回答里提及这个。这是一个场景描述语言 + 渲染器,那个渲染器还是不错的,就是比较慢。这玩意有两种用法:
首先发个链接:http://www.bugman123.com/index.html 这哥们的 visualization 能力完爆所有答案(包括我的)加起来,实在是牛逼……
==
这题目都给写成这样了,我就不指望赞了。你们就当福利好了。
这个回答里的图都是我自己画的,盗图必…… 算了你们想拿去玩就拿去吧……
看到这个问题的时候我有点纠结问题里的最后一张图是怎么画的,不过仔细看了一下我觉得应该是二维空间里画的。所以 Asymptote 和 Metapost 都可以。
对了补充一点,在我的另一个回答里(当别人问你的研究有什么实际价值的时候,你是怎么回答的?), 我提到对于科研的价值,科研圈和大众的定义是不一样的。对于“漂亮的插图”也是一样。君不见大众媒体里少有数据图,就算有也是寥寥几笔,fancy 为主,使用符合当前大众审美的风格(比如现在是扁平、极简),测量从来不画 errorbar,甚至极简风格的连坐标轴都不画,一条颜色风骚的曲线牛逼闪闪。对于大众来说,看起来牛逼、fancy 才是漂亮。但是在科研圈里显然不是这样,而且不同的学科之间对图的严谨、清晰程度的要求也不一样。所以单纯地说一个插图“漂亮”其实没什么意义。
——————————————
正文:
我觉得这个问题让我答简直太合适了…… 只要是用来画图的玩意我基本都用过,也都会。这个回答主要介绍工具,为什么不说方法呢?因为感觉好像没什么好说的,你觉得什么地方难看,改一下就行了啊…… 从最简单的开始吧。
- 菜鸟级:
Matlab, Mathematica 和 R 就不说了。
Python 有个著名的库叫 Matplotlib, 主要用来数据作图,但本身带有层次较低的 API, 原则上可以用来画任意种类的图。这玩意自带 TeX 数学语法。数据作图效果这样:


丧病一点可以这样:
这种牛逼闪闪的等高线也是小意思~~

这么多点也是没问题的:

这玩意极其的灵活,比如 Mathematica 有个功能就是画函数曲线的时候自动选择合适的采样率,斜率或者曲率比较大的地方会自动使用高采样率。于是我在 Python 里也实现了一个,这样就可以用 Matplotlib 无脑画函数曲线了,比如这样:

Gnuplot. 纯画图方面与 Matplotlib 不相上下,优点是快,超级快。图就不放了,和 Matplotlib 差不多。
- 普通级:
Metapost. 脱 离菜鸟级以后,我们离开了 API 和程序的地盘,开始撸绘图语言。首先当然要介绍大名鼎鼎的 Metapost. 这货的历史最早要追溯到 Knuth 大神设计的 Metafont, 但是 Metafont 是用来制作字体的,于是一帮人仿照 Metafont 设计了通用绘图语言 Metapost. 写程序画图相对于使用 GUI 工具来说最大的好处就是可以精确地控制,和自动化。这种绘图语言尤其适合画示意图。还是上图吧……






费曼图什么的简直就是不在话下…… 其实我是不太明白为什么有些软件画出的费曼图那么难看的……


然后这是我用 Metapost 给我的统计力学笔记撸的封面:

Asymptote. 有一小撮人用 Metapost 不爽,毕竟语法太古老了,于是搞出了类 C++ 语法的面向对象语言 Asymptote, 也是醉了…… 除了写出来比 metapost 好看一些意外,基本上差不多:



初中几何题都是可以的。

这玩意比较逆天的功能是 3D 矢量作图~~ 你看我这么一比划,你不就知道面心立方
的晶胞是什么样的了么~~
继续
嗯,还有好多图懒得找了,Asymptote 就先这样吧。……
……
……
<更新 2016-01-22>
最近又折腾了一下传说中的 D3.js. 这个东西的核心实际上是一套 selector 实现和把数据绑定到 DOM 上的机制,非常紧凑。然后 HTML 的 DOM 里可以包含 SVG, 这就很好玩了。
我试了一下数据作图

然后顺便撸了个 Game of Life, 你们可以玩玩~~ (暂不支持移动端……),长这样:

看 上去挺好用,对吧?但是!!这个东西其实并不是特别适合给论文出图,原因是你用的时候需要把 SVG 保存下来。SVG 是 DOM 的一部分,一般只能用 Javascript 把 SVG 序列化,然后抛出一个文件让你在浏览器里下载,或者打开一个新窗口你手动另存为什么的,这不是关键,关键是我们写 SVG 的时候经常会用 CSS 来指定样式,这样如果你需要所有的线都粗一点,只要改下 CSS 就好,不用碰逻辑。然而你序列化 SVG 的时候是没法同时序列化 CSS 的(吧?)……………………………………
</更新>
- 地狱级:
这 个级别的工具当之无愧地给了 Postscript 这个基于堆栈的底层页面描述语言,这个语言是如此的强大,以至于 Adobe 后来不得不发展了简化版(更易于实现):EPS 和 PDF. 这个语言的神奇之处就是它底层到用户几乎忘了它的存在,但同时它写起来却不是很费劲。如果你玩过 RPN 计算器,就很容易理解 PS 的逻辑。这玩意最大的好处它的语法十分简单,无论你用什么语言来计算,都可以方便地生成 PS 代码,而不需要考虑你用的语言是否有好用的绘图 API. 比如我之前玩元胞自动机的时候就可以用计算的代码直接生成图形:
放大一点可以看到我在图上直接写了格点的编号,方便调试~~
- 奇葩级:
最后这个级别主要是给一些特殊用途的工具。
Graphviz. 这是一个图可视化工具包,可以可视化各种无向图和有向图。前几天我刚刚用它画过一个流程图:

Blender. 这是一个自由的通用 3D 建模/着色/渲染/动画套件,我基本上是看着它一点点从一个土了吧唧的山寨三维软件逐渐进化成现在 Maya 级别的 3D 套件的。你们都在 Nature 杂志上见过那种很漂亮很 Fancy 但其实没什么用的三维渲染图对吧?我只能说…… 他们如果雇我画图的话会更漂亮更 fancy…
不过在放 fancy 图以前,先放个看起来不那么 fancy 的:
画这个图以前我以为在 Blender 里面放几个立方体几个球打开卡通渲染就行了…………
……
……
我简直就是拿衣服。这货最后用了三个渲染层才搞定…… 如果有人知道更简单的方法请告诉我……
下面放 fancy 图~~
小清新洛伦兹吸引子:




小清新某分子:
这张图的源文件(分子略不同,注意有三个 scenes 需要渲染):https://drive.google.com/file/d/0B9ybmL_hSiV-U2NBQUxCLXJ4ejQ/view?usp=sharing
嗯,就先这样吧~~ 想起什么再更新……
更新:
Pov-ray: 好像还没有回答里提及这个。这是一个场景描述语言 + 渲染器,那个渲染器还是不错的,就是比较慢。这玩意有两种用法:
- 当渲染器用,主要是在别的 3D 软件中把场景导出成 pov 文件,然后直接渲染,没什么技术含量
- 把 数学公式写进去画曲面。这个玩法比较特别,配合 pov 强大的渲染器可以撸一些非常怪异的东东,但是…… Blender 是有 Python API 的,所以其实 Pov-ray 能撸的 Blender 都能撸。我之前有一段时间特别痴迷这个,后来发现然并卵,用 Blender 就行了……
lynn Tong、pythonwood、胡楠 等人赞同•收录于 编辑推荐
遇到安装问题的请尝试Anaconda这个Python发行版。下载安装后直接使用即可,它几乎预装了所有要用到的科学计算及可视化的库。
有盆友在评论里说希望能有完整的教程,确实就这个答案来说,离实际使用还有很大的距离,网上相关的中文资料也不多。不过真要写起来这个答案也装不下,况且写在这个问题下也不是很恰当。等到那天我有专栏了再说吧,到时候也许会写一个关于可视化的系列教程。
=======分割线======
强烈推荐 Python 的绘图模块 matplotlib: python plotting 。画出来的图真的是高端大气上档次,低调奢华有内涵~ 适用于从 2D 到 3D,从标量到矢量的各种绘图。能够保存成从 eps, pdf 到 svg, png, jpg 的多种格式。并且 Matplotlib 的绘图函数基本上都与 Matlab 的绘图函数名字都差不多,迁移的学习成本比较低。开源免费。如图所示(题目描述中的图在最后):
(以下图片均引用自 Thumbnail gallery )
像这种普通的函数图象:
以及这种 Scatter 图(中文不知道该怎么说…):

精致的曲线,半透明的配色。都显出你那高贵冷艳的X格,最重要的是只需一行代码就能搞定。从此以后再也不用忍受 Matlab以及GNUPlot 中那蛋疼的配色了。
想画 3D 数据?没有问题 (不过用 mayavi 可能更方便一些):

四行代码你就能拥有(后三行是画坐标平面上的等高线,严格的额说还是一行)。
除此以外,不过你是矢量场,网络还是什么奇葩的需求都能够搞定:

这还没完,Matplotlib 还支持Latex公式的插入,当别人画的图还是这个样子的时候(以下图片引用自Matplotlib Tutorial(译))
你能够把它变成这个样子:
如果再搭配上 IPython 作为运行终端(这张图是自己的~):

简直就是神器啊,有木有!
心动不如行动,还等什么?
(奉上教程一篇 Matplotlib Tutorial(译))
==== Update: 2013-9-18 18:04 ====
经@许铖同学提醒,再补充一句,matplotlib 还可以话 xkcd 风格的图呦~
(图片引用自网络)
此外结合 IPython Notebook 后更多精彩内容,请看http://nbviewer.ipython.org/
==== Update: 2013-9-19 20:04 ====
如果嫌安装麻烦并且恰好在 Windows 系统下的话可以尝试Python的一个发行版winpython - Portable Scientific Python 2/3 32/64bit Distribution for Windows。
==== Update: 2013-10-1 23:45 ====
鉴于@van li同学质疑 matplotlib 是否能画出题目中所示的图像,我在这里将题目中的图像用 matplotlib 画出来如下:
代码在此处:https://gist.github.com/coldfog/c479124328fc6bb8b789
代码在此处:https://gist.github.com/coldfog/5da63a6958fc0a949b52
======== 2014.5.10更新======
看到楼下有人说配色和好看,唉....那我也贴几个吧...只不过当初限于篇幅没有写而已。
首先,python 有一个专门的配色包jiffyclub/brewer2mpl 路 GitHub,提供了从美术角度来讲的精美配色(戳这里感受ColorBrewer: Color Advice for Maps)。
此外还有一些致力于美化绘图的库,用起来也都非常方便,比如olgabot/prettyplotlib 路 GitHub。
废话不多说,上图就是王道。
(一下图片来源网络)



有人可能会说需要复杂的设置,其实也不用。比如上边这幅图,只需要多加一个参数就好:
楼下说到统计绘图。嘛 seaborn (https://github.com/mwaskom/seaborn) 是一个调用 matplotlib 的统计绘图库,上图:
代码一行,后边的几乎都是一行,没做其他设置,默认就这样。我就不贴其他的代码了:





这还有个更炫酷的可交互式的绘图,大家自己戳开看吧http://nbviewer.ipython.org/github/plotly/python-user-guide/blob/master/s0_getting-started/s0_getting-started.ipynb
哼哼,完爆了吧~~~~\(≧▽≦)/~
有盆友在评论里说希望能有完整的教程,确实就这个答案来说,离实际使用还有很大的距离,网上相关的中文资料也不多。不过真要写起来这个答案也装不下,况且写在这个问题下也不是很恰当。等到那天我有专栏了再说吧,到时候也许会写一个关于可视化的系列教程。
=======分割线======
强烈推荐 Python 的绘图模块 matplotlib: python plotting 。画出来的图真的是高端大气上档次,低调奢华有内涵~ 适用于从 2D 到 3D,从标量到矢量的各种绘图。能够保存成从 eps, pdf 到 svg, png, jpg 的多种格式。并且 Matplotlib 的绘图函数基本上都与 Matlab 的绘图函数名字都差不多,迁移的学习成本比较低。开源免费。如图所示(题目描述中的图在最后):
(以下图片均引用自 Thumbnail gallery )
像这种普通的函数图象:

plt.fill(x, y1, \'b\', x, y2, \'r\', alpha=0.3)
以及这种 Scatter 图(中文不知道该怎么说…):

plt.scatter(x, y, s=area, alpha=0.5)
精致的曲线,半透明的配色。都显出你那高贵冷艳的X格,最重要的是只需一行代码就能搞定。从此以后再也不用忍受 Matlab以及GNUPlot 中那蛋疼的配色了。
想画 3D 数据?没有问题 (不过用 mayavi 可能更方便一些):

ax.plot_surface(X, Y, Z, rstride=8, cstride=8, alpha=0.3)
cset = ax.contourf(X, Y, Z, zdir=\'z\', offset=-100, cmap=cm.coolwarm)
cset = ax.contourf(X, Y, Z, zdir=\'x\', offset=-40, cmap=cm.coolwarm)
cset = ax.contourf(X, Y, Z, zdir=\'y\', offset=40, cmap=cm.coolwarm)
四行代码你就能拥有(后三行是画坐标平面上的等高线,严格的额说还是一行)。
除此以外,不过你是矢量场,网络还是什么奇葩的需求都能够搞定:

plt.streamplot(X, Y, U, V, color=U, linewidth=2, cmap=plt.cm.autumn)
plt.colorbar()

plt.triplot(x, y, triangles, \'go-\')
plt.title(\'triplot of user-specified triangulation\')
plt.xlabel(\'Longitude (degrees)\')
plt.ylabel(\'Latitude (degrees)\')

ax = plt.subplot(111, polar=True)
bars = ax.bar(theta, radii, width=width, bottom=0.0)
这还没完,Matplotlib 还支持Latex公式的插入,当别人画的图还是这个样子的时候(以下图片引用自Matplotlib Tutorial(译))
你能够把它变成这个样子:
如果再搭配上 IPython 作为运行终端(这张图是自己的~):
简直就是神器啊,有木有!
心动不如行动,还等什么?
(奉上教程一篇 Matplotlib Tutorial(译))
==== Update: 2013-9-18 18:04 ====
经@许铖同学提醒,再补充一句,matplotlib 还可以话 xkcd 风格的图呦~
(图片引用自网络)此外结合 IPython Notebook 后更多精彩内容,请看http://nbviewer.ipython.org/
==== Update: 2013-9-19 20:04 ====
如果嫌安装麻烦并且恰好在 Windows 系统下的话可以尝试Python的一个发行版winpython - Portable Scientific Python 2/3 32/64bit Distribution for Windows。
==== Update: 2013-10-1 23:45 ====
鉴于@van li同学质疑 matplotlib 是否能画出题目中所示的图像,我在这里将题目中的图像用 matplotlib 画出来如下:
代码在此处:https://gist.github.com/coldfog/c479124328fc6bb8b789
代码在此处:https://gist.github.com/coldfog/5da63a6958fc0a949b52======== 2014.5.10更新======
看到楼下有人说配色和好看,唉....那我也贴几个吧...只不过当初限于篇幅没有写而已。
首先,python 有一个专门的配色包jiffyclub/brewer2mpl 路 GitHub,提供了从美术角度来讲的精美配色(戳这里感受ColorBrewer: Color Advice for Maps)。
此外还有一些致力于美化绘图的库,用起来也都非常方便,比如olgabot/prettyplotlib 路 GitHub。
废话不多说,上图就是王道。
(一下图片来源网络)



有人可能会说需要复杂的设置,其实也不用。比如上边这幅图,只需要多加一个参数就好:
cmap=brewer2mpl.get_map(\'RdBu\', \'diverging\', 8, reverse=True).mpl_colormap,
楼下说到统计绘图。嘛 seaborn (https://github.com/mwaskom/seaborn) 是一个调用 matplotlib 的统计绘图库,上图:
代码一行,后边的几乎都是一行,没做其他设置,默认就这样。我就不贴其他的代码了:g = sns.jointplot(x1, x2, kind="kde", size=7, space=0)





这还有个更炫酷的可交互式的绘图,大家自己戳开看吧http://nbviewer.ipython.org/github/plotly/python-user-guide/blob/master/s0_getting-started/s0_getting-started.ipynb
哼哼,完爆了吧~~~~\(≧▽≦)/~
入睡失败,排版强迫星人乱入歪题,安利一下自己的绘图思路和经历。
按时间倒序和使用频率介绍我主要使用的绘图软件,专业相关度较高。图片引用来源均已标明,其余为自己绘制,如有侵权麻烦告知(图片放大观看可还原绘图软件输出效果)。
1. gnuplot
刚完成的硕士论文主要用了LaTeX+gnuplot,gnuplot胜在免费、绘图效果清爽、专业认可,输出终端多样化,插值优化做得也不错,用下来感觉基本可替代Matlab系和Origin,学习成本不低。



图片来源:http://blog.sciencenet.cn/blog-373392-535918.html
2. PowerPoint
只有想不到,没有画不了,比起其他软件现成的模型模块,用PowerPoint造轮子的优点在于细节由自己掌控。学习成本低,个人发挥空间大!

Nature、Science上的插图偏立体风,通过多图形多色块套用和“填充效果”中的“渐变”即可实现(参数怎么调很考究)。下面这张只花了十分钟,要进一步改进可细化DNA结构,再给通道中的截面加上多重线性渐变。



3. Origin
使 用时间最长的数据绘图软件,在普通工科院系Origin就是专业论文绘图标配。功能丰富全面,多图层在2D数据处理上非常实用(3D的没画过),简单画画 容易上手,深入之后学习曲线开始变得平缓。由于渲染效果和自由度的限制,画出的图都有一种标志性的浓郁的Origin风。操作系统不太友好、易崩溃,只支 持Windows系统。学习成本中等!
图片来源:OriginLab - Origin and OriginPro
重申一遍,图层叠加+矢量图输出+可视化操作足以满足工科生基本需求了,贪多嚼不烂。

4. Matlab
工科生必备软件,工具包实在强大,数学实验、反应模拟、系统优化各种课程都离不开它。但在绘图方面硬伤也很明显,锯齿现象明显、字体/坐标轴和3D配色简直要逼死强迫症……研究生阶段搞定优化大作业拿了前3%后就把Matlab扔了。学习成本中等!
恩,matlab的画风大家都很熟悉了。
图片来源:Team:NCTU Formosa/modeling
5. 提到Matlab就想起了本科虐人的COMSOL和化学反应工程模块, 也印证了文首观点“专业图要用专业软件”,COMSOL的强大在于多场耦合功能突出和各种自定义PDE方程、边界和平衡条件设置简便,系统相对友好(并 不)。我最好的朋友出国前把他的真传——一本砖头那么厚的COMSOL tutorial送给了我,后来我再也没做过仿真模拟,而他去了美国的COMSOL工作(这才是我安利的原因,Doge脸),下图是本科做过的一个案例, 自己的图找不到了……学习成本高!
图片来源:Radial Effects in Tubular Reactors
6. Circos
最近新上手的利器,为绘制全基因组特征圈图而生的信息图软件,实际上可用来画各种圈状信息图,功能强大令人咋舌,配色美观耐看(开发者毕竟是专职摄影师),不太方便的是需要安装Perl运行,学习成本中等,国内教程少。
恩,简陋版的是我的论文图片。

图片来源:Genomic Data // CIRCOS Circular Genome Data Visualization
7. SnapGene
画质粒的软件用过不少,SimVector/Plasmid Processor/pDRAW32/Gene Construction Kit/Ape等等,从功能集成和输出效果来看,还是SnapGene更胜一筹,操作设计也做得很赞,学习成本低。

商业化质粒可直接查询Vector Database,细节做得相当考究,可编辑余地适中。

8. 化学式绘图软件优先级:ChemDraw>tikz的chemfig包 >PowerPoint(黑历史),学习成本低。补充一句,下面第一张分子式是我组会报告上画的,键角键长不符合正式投稿的美国化学会(ACS)期刊的化学式统一格式——ACS1996标准,使用ChemDraw的话直接在“file”或者“object”中选择“Apply object settings from”选项则可一键改成ACS1996和其他一些杂志要求的标准格式。


9. 统计类可视化软件
根据google scholar数据统计,2005年之后SPSS和SAS的使用热度都跌得厉害,R和STATA则呈抬头之势(讽刺的是这张统计图是用ggplot2画的)。ggplot2绘图效果请参见本问题其他回答,因为没学/用过在此不作任何评价,谢知友提醒。
图片来源:Discovering Statistics: The Blog: July 2012
本科阶段做项目和作业用过STATA,估计工作后会用SAS。STATA的统计回归功能相对强大,但可视化做得实在难以恭维,在官网上随便扒个图来感受下。学习成本中等!
图片来源:Quantile–normal plot
SAS等学了之后再填坑。
10. 化工流程模拟软件
Aspen Plus和HYSYS都用过,后者上手明显比前者容易,但做出来的图肯定跟美观不沾边啦,就是专业的模拟可视化软件,学习成本高!放在这就是为了说明化工和化学不是一回事!化工和化学不是一回事!重要的事情要说两遍!
Aspen Plus 流程图来源:5.2 Hybrid VSA/MEA scrubbing process
HYSYS流程图来源:Process Simulation
AutoCAD只学了一学期,晶体/蛋白立体结构主要用RASMOL,略过不提。
估计毕业之后就很难有机会再用到上面大部分软件了(关键也用不起),本答案权作纪念,感谢阅读。
- 论文插图终归是内容导向,数据少/逻辑简单很难画出炫酷的图;
- 专业图尽量用对应的专业软件画;
- 大力出奇迹,插图最终效果跟投入的时间成本(学习软件+绘制+调试)成正比,只要耐心好学多尝试,哪怕MS的Office系列也不会让你失望;
- 绘图最重要的是专业性,其次关注“矢量+配色+字体+布局”;
- 有时瓶颈在于思路而非工具,做科研的多浏览Nature和Science,有很多值得借鉴的绘图方案;
- 有精力就再去学学AI和PS吧,后期如虎添翼。
按时间倒序和使用频率介绍我主要使用的绘图软件,专业相关度较高。图片引用来源均已标明,其余为自己绘制,如有侵权麻烦告知(图片放大观看可还原绘图软件输出效果)。
1. gnuplot
刚完成的硕士论文主要用了LaTeX+gnuplot,gnuplot胜在免费、绘图效果清爽、专业认可,输出终端多样化,插值优化做得也不错,用下来感觉基本可替代Matlab系和Origin,学习成本不低。
- 简单的2D图可以画成这样



- 复杂一点的信息图/3D函数/极坐标图/pm3d自然也不在话下
图片来源:http://blog.sciencenet.cn/blog-373392-535918.html 2. PowerPoint
只有想不到,没有画不了,比起其他软件现成的模型模块,用PowerPoint造轮子的优点在于细节由自己掌控。学习成本低,个人发挥空间大!
- 反应器示意图

- 原理示意图
Nature、Science上的插图偏立体风,通过多图形多色块套用和“填充效果”中的“渐变”即可实现(参数怎么调很考究)。下面这张只花了十分钟,要进一步改进可细化DNA结构,再给通道中的截面加上多重线性渐变。
- 彩色信息图

- 多内容拼接

3. Origin
使 用时间最长的数据绘图软件,在普通工科院系Origin就是专业论文绘图标配。功能丰富全面,多图层在2D数据处理上非常实用(3D的没画过),简单画画 容易上手,深入之后学习曲线开始变得平缓。由于渲染效果和自由度的限制,画出的图都有一种标志性的浓郁的Origin风。操作系统不太友好、易崩溃,只支 持Windows系统。学习成本中等!
图片来源:OriginLab - Origin and OriginPro重申一遍,图层叠加+矢量图输出+可视化操作足以满足工科生基本需求了,贪多嚼不烂。

4. Matlab
工科生必备软件,工具包实在强大,数学实验、反应模拟、系统优化各种课程都离不开它。但在绘图方面硬伤也很明显,锯齿现象明显、字体/坐标轴和3D配色简直要逼死强迫症……研究生阶段搞定优化大作业拿了前3%后就把Matlab扔了。学习成本中等!
恩,matlab的画风大家都很熟悉了。
图片来源:Team:NCTU Formosa/modeling5. 提到Matlab就想起了本科虐人的COMSOL和化学反应工程模块, 也印证了文首观点“专业图要用专业软件”,COMSOL的强大在于多场耦合功能突出和各种自定义PDE方程、边界和平衡条件设置简便,系统相对友好(并 不)。我最好的朋友出国前把他的真传——一本砖头那么厚的COMSOL tutorial送给了我,后来我再也没做过仿真模拟,而他去了美国的COMSOL工作(这才是我安利的原因,Doge脸),下图是本科做过的一个案例, 自己的图找不到了……学习成本高!
图片来源:Radial Effects in Tubular Reactors6. Circos
最近新上手的利器,为绘制全基因组特征圈图而生的信息图软件,实际上可用来画各种圈状信息图,功能强大令人咋舌,配色美观耐看(开发者毕竟是专职摄影师),不太方便的是需要安装Perl运行,学习成本中等,国内教程少。
恩,简陋版的是我的论文图片。
图片来源:Genomic Data // CIRCOS Circular Genome Data Visualization
7. SnapGene
画质粒的软件用过不少,SimVector/Plasmid Processor/pDRAW32/Gene Construction Kit/Ape等等,从功能集成和输出效果来看,还是SnapGene更胜一筹,操作设计也做得很赞,学习成本低。

商业化质粒可直接查询Vector Database,细节做得相当考究,可编辑余地适中。

8. 化学式绘图软件优先级:ChemDraw>tikz的chemfig包 >PowerPoint(黑历史),学习成本低。补充一句,下面第一张分子式是我组会报告上画的,键角键长不符合正式投稿的美国化学会(ACS)期刊的化学式统一格式——ACS1996标准,使用ChemDraw的话直接在“file”或者“object”中选择“Apply object settings from”选项则可一键改成ACS1996和其他一些杂志要求的标准格式。


9. 统计类可视化软件
根据google scholar数据统计,2005年之后SPSS和SAS的使用热度都跌得厉害,R和STATA则呈抬头之势(讽刺的是这张统计图是用ggplot2画的)。ggplot2绘图效果请参见本问题其他回答,因为没学/用过在此不作任何评价,谢知友提醒。
图片来源:Discovering Statistics: The Blog: July 2012本科阶段做项目和作业用过STATA,估计工作后会用SAS。STATA的统计回归功能相对强大,但可视化做得实在难以恭维,在官网上随便扒个图来感受下。学习成本中等!
图片来源:Quantile–normal plotSAS等学了之后再填坑。
10. 化工流程模拟软件
Aspen Plus和HYSYS都用过,后者上手明显比前者容易,但做出来的图肯定跟美观不沾边啦,就是专业的模拟可视化软件,学习成本高!放在这就是为了说明化工和化学不是一回事!化工和化学不是一回事!重要的事情要说两遍!
Aspen Plus 流程图来源:5.2 Hybrid VSA/MEA scrubbing process
HYSYS流程图来源:Process SimulationAutoCAD只学了一学期,晶体/蛋白立体结构主要用RASMOL,略过不提。
估计毕业之后就很难有机会再用到上面大部分软件了(关键也用不起),本答案权作纪念,感谢阅读。
- 我 喜欢用Mathematica画图,默认出图漂亮,自定义性好,支持常见各种类型的画图,能导出丰富的格式,动态交互和制作动画也很强大,还有一 点:Mathematica很数学,语法和数学上的习惯更接近,函数或方程作图只需输入表达式和范围即可,Matlab和Python中一般需要先手动离 散化
- Matlab的可视化也很强大,不过被吐槽较多的一点是线条有锯齿(这个和取的点多少无关,其实也能消掉)(http://tieba.baidu.com/p/2087817806)3维绘图色调不好看,当然如果有耐心也可以画出漂亮的图形的
- Python 的matplotlib库我也用过,风格是模仿Matlab的,就默认绘图来说比Matlab好看(起码没锯齿),好处楼上已经有人说过了,但是并非没有 缺点,使用matplotlib需要一点编程和Python基础,对于编程基础不好的同学来说入门会比其他的软件慢一点;matplotlib的2维绘图 很好,但是3维绘图目前还比较差,各种绘图细节方面的可选项不算很丰富,不支持隐函数绘图(形如F(x,y,z)=0这种),性能也不好(如3D的 scatter,大概1万个点就开始卡了,Mathematica和Matlab 10万个点都不算卡),3维的用mayavi这个库可能更好
第二幅图中加上Mesh->All,显示出所有点的位置。可以看出Mathematica很聪明,它知道在变化剧烈的地方取更多的点,变化较少的地方少取一些

Mathematica不仅支持Latex,还能直接写二维的公式以及把公式导出为Latex


不等式区域绘图,在Mathematica中使用RegionPlot很简单,但在Matlab和Matplotlib中有点麻烦
(下面这个是在极坐标下的)

绘制图表

下面是几个3D的,比较下Matlab和Python画的爱心http://www.cnblogs.com/qtsharp/archive/2012/03/24/2415147.html
http://www.xue163.com/178/6/1787117.html
2行代码创建的Menger spongeMatlab版:Matlab软件环境下的Sierpinsk地毯及Sierpinski海绵



矢量场流线图
图论中的图
散点图

更多美图
http://www.51xuewen.com/group/513/topic_12635.htm
http://mathematica.stackexchange.com/questions/11880/animating-mathematica-se-logo
http://mathematica.stackexchange.com/questions/11350/xkcd-style-graphs

开头放颗爱心吧,图片是我自己用 LaTex 编译得到的,代码来自Can we make a love heart with LaTeX?
再放一个今天刚看到的多米诺的图,觉得超赞,代码来自Falling dominoes。以上just for fun。
我 认为,在如何在论文里画图的问题下面,没有人重视 LaTex 是一件不合理的事情。LaTex 在学术界的流行程度之广是不容置疑的,你敢说你投论文从来没用过 LaTex?期刊没有要求过你提交 Tex 源码?那么使用 LaTex 原生支持的图包来画论文中的插图是一件很自然的事情,况且,它的绘图工具库 (pgfplots) 也没有很难学。另外,从TeX - LaTeX Stack Exchange上的问答内容的丰富程度来看,在世界范围内,LaTex 还是很流行的。
这个答案不打算很详细地教你如何入门,但我会给一些很简单很基础的例子来告诉你怎么用 LaTex 的代码画出基本的图形来。至于更复杂的例子,就看你自己啦,网上的 LaTex 资源是非常丰富的。对于我来说,只要有 TeX - LaTeX Stack Exchange 和 TikZ and PGF 就足够回答我几乎所有的 LaTex 日常编码及 pgfplots 的问题了(你么有看错,不用 google 也行,反正你 google 到的大多也是 TeX - LaTeX Stack Exchange 的问答页面)。
下 面我会先说一下代码量的问题,因为在很多人提到 LaTex 的绘图代码量大。接着,我会说一下代码可读性的问题,我认为 LaTex 的 pgfplots 的绘图代码的可读性优于 python 的 matplotlib,我会举一个简单的例子来说明。如果你把这个例子看完,事实上也已经掌握了用 Latex 来绘制简单的函数图形的方法。然后,由于很多人肯定会关心如何根据已有的数据来绘制图形的问题,比如绘制某段时间的温度变化曲线之类,所以,我会再介绍一 下用 LaTex 读取数据文件并绘制成曲线图的方法。我相信你读完这些内容之后会发现,其实用 LaTex 画图,上手也很容易,没有编程基础的话也没有很大难度。你会发现 LaTex 的 pgfplots 包中有很多设定都是对初学者很温馨的。最后,我会给出更多的效果图。
当然当然,我这里说的肯定是片面的,因为我在努力地夸 LaTex。事实当然是它也有很多缺点,但因为大多数人都对它有偏见,所以我想多夸夸它会更有意义些。
1. 代码量
很 多人似乎觉得 LaTex 的画图代码量很大,是的,我这里贴的一些图的代码量确实很大,但是,你要和其它画图方式相比较的话,总得找一样的例子吧,下面我给一个很简单的例子来比较 一下用 LaTex 的 pgfplots 画图和用 python 的 matplotlib 来画图的代码。
首先是 matplotlib 的。

import numpy as np
import matplotlib.pyplot as plt
x = np.linspace(0, 10)
line, = plt.plot(x, np.sin(x), \'--\', linewidth=2)
dashes = [10, 5, 100, 5] # 10 points on, 5 off, 100 on, 5 off
line.set_dashes(dashes)
plt.show()
接着是 pgfplots 的。

\documentclass{article}
\usepackage{pgfplots}
\begin{document}
\begin{tikzpicture}
\begin{axis}
\addplot [dash pattern=on 10 off 5 on 100 off 5, domain=0:10, samples=100, very thick, blue] {sin(deg(x))};
\end{axis}
\end{tikzpicture}
\end{document}
看,代码量没什么太大差距吧。
2. 代码可读性
其实,除 了代码量以外还有一个很重要的问题需要考虑,就是学习曲线。是的,在这个 LaTex 的学习曲线很陡峭已经几乎被公认的年代里,我居然会说我们可以来比一下学习曲线。LaTex 的这个 pgfplots 真的很难学吗?下面我们来看一下上面给的这两段代码吧,我想说的其实是,LaTex 的这段画图代码对于初学者来说,可读性会比 python 更好,因为你不用看文档就能够大致猜到 LaTex 代码的含义。
我们一行一行地看看绘图有关的代码。
先来看看 LaTex 的。
\begin{tikzpicture}
虽然 tikz 不知道是什么意思,但是 begin 和 picture 我知道,所以我猜这是要开始画图了。
\begin{axis}
axis 的意思是坐标轴,恩,我猜这是要画坐标轴。
\addplot [dash pattern=on 10pt off 5pt on 100pt off 5pt, domain=0:10, samples=100, very thick] {sin(deg(x))};
plot,这个词我在韦伯词典里查到它的意思是:3 a: to locate (a point) by means of coordinates b: to locate (a curve) by plotted points c: to represent (an equation) by means of a curve so constructed。所以理解应该没难度吧。
dash pattern,明显是要指定虚线样式的节奏,后面跟了个 on 10pt off 5pt on 100pt off 5pt,on和 off 是什么?好像虚线就是画一段空一段嘛,所以大概这个 on 就表示画一段的意思,off 就表示空一段的意思,那么后面的数字应该就是这一段的长度了。
domain=0:10,这似乎表示某个域的大小,一般来说,如果我们要画的是一条由某个函数表示的曲线的话,很可能需要关心的域是x的域。
samples=100,任何一条曲线在画的时候,实际上都是需要采样 (sample) 的,那么这里的意思很可能就应该是采样点数量的意思。
very thick,很粗?是的,这就是表示粗细,是什么东西的粗细呢?你画曲线的时候最关心的是什么东西的粗细?我相信是曲线本身吧。而且,回过去看看这一行开头写的是 \addplot,所以应该也能猜到这里需要描述的对象是曲线。
blue,很显然,就是画成蓝色的意思。
最后再看 sin(deg(x)),sin 大家都知道是什么意思,deg 似乎要想一下,恩...degree 大家都很常用吧,所以这里的意思似乎就是把x转换成角度的意思,所以,这个图的横坐标应该表示的是弧度。
然后是两个 \end,意思应该也很容易猜到。
现在我们来看 python 的代码,请注意,假设你是一个不会写代码的人。
x = np.linspace(0, 10)
我知道 x 可能是曲线方程的自变量,但是 np 是个啥?下面加个点是什么意思?linspace 可能是 line space 的意思,但是 line space 是什么意思?大概是线的绘制空间吧。你觉得 pgfplots 里用的关键字 domain 和这里的 linspace ,哪个更容易被理解成 x 的取值范围?
line, = plt.plot(x, np.sin(x), \'--\', linewidth=2)
我们不说 line 后面那个逗号和等号。plt.plot,似乎就是要画个什么曲线图的意思(主要是 plot 可以看懂)。后面的 x ,我大概能理解,因为上面说 x 等于某个 linspace,所以这里大概也是值linspace。np.sin(x),不管 np 是什么意思吧,sin(x) 还是能理解的。然后,你说 \'--\' 是什么意思?linewidth=2,这个很好理解,应该是线的宽度。不过我不知道2到底是有多宽,比方说它和坐标轴的粗细比,哪个宽?很多时候我们需要 画出来看看才行。LaTex 里用的是 very thick 这样的词,所以我们会猜到它是比一般的线要粗很多的。
dashes = [10, 5, 100, 5] # 10 points on, 5 off, 100 on, 5 off
dashes 是虚线的意思。但是后面中括号里的东西就比较难理解了,如果没有#后面的注释的话。再者,你看#后面的这段注释,是不是感觉和 LaTex 里的代码很像?所以哪段代码更容易理解应该很显然了吧。而且,如果不看这段注释,你知道第一个 10 表示的 on 还是 off 吗?
3. 数据文件
有很多人提到数据管理的问题。如果我没理解错,那么关键的问题就是如何利用存储在文件中的数据来画图。这一点,LaTex 完全可以做到。
用 LaTex 最方便地可以读取的数据格式是纯文本数据,比如你有一个二维点的数组,你可以存成这样:
1 -1.5
2 3.4
3 2.2
4 0.9
5 0.4
6 4.1
7 7.0
8 4.8
9 2.9
我现在有一个365天的气温数据文件 temperaturesOslo.txt (这个文件来自Temperature and rain sparklines),其中的365个数据是按照上面的格式存储的,读取这个文件并绘制出来的代码很简单:
\documentclass{article}
\usepackage{tikz}
\usepackage{pgfplots}
\begin{document}
\begin{tikzpicture}
\begin{axis}
\addplot [mark = none, blue] table {temperaturesOslo.txt};
\end{axis}
\end{tikzpicture}
\end{document}
\addplot [mark = none, blue] table {temperaturesOslo.txt};
绘制的结果是

数据文件中,数据的分隔符并不一定要用空格,可以自定义,使用逗号什么的也没问题,当默认读取失败时,可以在代码中注明你实际使用的分隔符。
有 人也提到和 MATLAB 的数据互通问题,MATLAB 保存的 .mat 文件 LaTex 读取起来不是很方便(应该有一些 LaTex 的库可以做到),主要是因为 .mat 文件是个二进制文件。但有一个变通的更简单的办法,因为 MATLAB 也可以很容易地把数据保存成纯文本的格式。
假设我有一个 MATLAB 矩阵 mymatrix,将其保存成纯文本格式的代码是
save(\'myfile.txt\', \'mymatrix\', \'-ascii\',\'-double\');
得到的 myfile.txt 中的数据的格式就和我上面给出的数据格式相同。
4. 更多效果图
受不鸟了,居然几乎木有 LaTex 的图,我来贴。下面所有的图都来自TeXample.net,每张图下面都有源码所在的页面地址。
首先是和问题中给的图比较接近的点阵图

Drawing lattice points and vectors
经典的函数曲线,不管是离散点还是直接用function
Pgfplots | TikZ example
Animated definite integral三维的
Spherical and cartesian grids
Membrane-like surface网络结构也没问题
Scientific interactions经典物理力学
Free body diagrams化学的
RNA codons table元素周期表也是可以的
Periodic Table of Chemical Elements电路
Power electronics如果你想要一个示波器
TeXtronics oscilloscope光学
Polarizing microscope分形也没什么啦
Lindenmayer systems有了分形,即使是圣诞树也是有可能的
Christmas fractal tree手绘风格
Simulating hand-drawn lines with TikZ还有Art
Sunset | TikZ example
Poppy flower
Modernized Islamic Art
Mandala | TikZ example可能,理论上说,其它工具也可以画出这些图,但是,我怀疑它们是否有一个和 LaTex 媲美的社区,提供这么多丰富的资源和代码。
LaTex 还有一个和stackoverflow媲美的问答网站,我日常工作中会遇到的 LaTex 相关的问题的答案,都可以在这里找到TeX - LaTeX Stack Exchange
大家都理解错了嘛~楼主问的是论文里怎么才能画出精美的插图。顶在最前面的Python、Matlab等软件虽然能准确画各种常见图,但是从美术角度来看不及格好吗!最让人吐槽的就是这俩的配色!看看直方图那丑陋的配色!函数图难看的等高线!一点都不精美!
要比高端大气上档次,本页所有答案完全不是R的ggplot2包的对手嘛~以前我也用Matlab,自从遇到ggplot2之后就彻底成为脑残粉了!
ggplot2是R的一个package,画图风格相当文艺小清新。看论文看到用ggplot2画图都是一种享受哦!极为擅长于数据可视化。可惜ggplot2功能没有Python或者Matlab全面,画不出稀奇古怪的电路图不支持三维立体图像哦~不过作为一个统计绘图软件那些功能也不算很重要啦。
ggplot2有一个最大的特点是引入了图层的概念,各位用过Photoshop应该能理解吧?
你可以随心所欲将各种基本的图叠加起来显示在一张图上,构造出各种各样新奇的图片!
先来一个最基础的散点图开胃。这是不调颜色软件包默认的配色。灰色的背景,黑色的小点点。拟合曲线和置信域看着就很舒服嘛。
来看看直方图,和傻大黑粗的Matlab相比精致秀气多啦!
还有精致的半透明效果!


折线图画得美到极致了好吗!
柱状图+密度!

Heat Map!

这么乱糟糟的线也画得好清新!

ggplot2能把密密麻麻的散点图画的极具美感,彻底治愈密集恐惧症!


还可以画地图!把非洲画得这么美我都想去了好吗!
Network也能画!
散点图+误差区间!
极坐标柱状图!
要比高端大气上档次,本页所有答案完全不是R的ggplot2包的对手嘛~以前我也用Matlab,自从遇到ggplot2之后就彻底成为脑残粉了!
ggplot2是R的一个package,画图风格相当文艺小清新。看论文看到用ggplot2画图都是一种享受哦!极为擅长于数据可视化。可惜ggplot2功能没有Python或者Matlab全面,画不出稀奇古怪的电路图不支持三维立体图像哦~不过作为一个统计绘图软件那些功能也不算很重要啦。
ggplot2有一个最大的特点是引入了图层的概念,各位用过Photoshop应该能理解吧?
你可以随心所欲将各种基本的图叠加起来显示在一张图上,构造出各种各样新奇的图片!
先来一个最基础的散点图开胃。这是不调颜色软件包默认的配色。灰色的背景,黑色的小点点。拟合曲线和置信域看着就很舒服嘛。
来看看直方图,和傻大黑粗的Matlab相比精致秀气多啦!
还有精致的半透明效果!

折线图画得美到极致了好吗!
柱状图+密度!
Heat Map!

这么乱糟糟的线也画得好清新!

ggplot2能把密密麻麻的散点图画的极具美感,彻底治愈密集恐惧症!


还可以画地图!把非洲画得这么美我都想去了好吗!
Network也能画!
散点图+误差区间!
极坐标柱状图!
工科生说Matlab完爆其他
数学系的说Mathematica高贵冷艳
统计系的说R语言作图领域天下无敌
计算机系的说Python低调奢华有内涵
…………
数学系的说Mathematica高贵冷艳
统计系的说R语言作图领域天下无敌
计算机系的说Python低调奢华有内涵
…………
这个问题我关注了一年多,许多答案看了许多遍。在这期间不但学会了matplotlib, ggplot2, MATLAB的画图功能也了解得更深了。在此,感谢 @冯昱尧, @Online Pig,谢谢你们的答案让我开阔了视野。
我的这篇回答并不是再多提供一个绘图软件,再附上许多绚烂的绘图实例。这里我会从零开始介绍如何利用这些绘图工具画出一张简洁美观大方,并可以被学术期刊接受并发表的数据图。
好了,废话太多,上代码:

只是一个简单的正弦函数加上一些噪音,这里数据并不重要,怎么让它漂亮起来是重点。
这个图目前有几个问题。
那么如何做才能克服以上四点问题,再次上代码:
这四行代码控制字体与字体大小
这一行,固定了图片大小
最后这一行调整画框的位置,用来消除白边。
现在图片是这个样子,应该已经满足大部分期刊的最低要求,注意是最低。接下来还有很多美化工作要作。
首先,marker(实在不知道marker的中文翻译是什么,抱歉)尺寸太大,marker的颜色是正红色, rgb(255,0,0),太不美观,并且对色盲群体也不友好。关于颜色的选择这里并不展开,不过有一个很好的参考网站ColorBrewer: Color Advice for Maps。matplotlib也包含了这个网站的各种颜色组合。
先用一小段代码把其中一组颜色"Set1"提取出来
这里cm_number是指我们需要多少种不同的颜色,然后修改一下plot指令:
图片现在成了这个样子。数据可视化有一个重要原则就是去除一切不必要的元素,我想了想发现,上边和右边的轴线我们并不需要,所以两行代码去掉它们
而且我希望利用网格代替刻度,这样读者可以更容易发现数据的大小关系。
最后图片的样子是
今天先到这里,以后有机会可以讨论下云图怎么画,希望大家多多交流讨论。
最后放一些我自认为还满意的图片,知乎不支持矢量图,真是遗憾。



我的这篇回答并不是再多提供一个绘图软件,再附上许多绚烂的绘图实例。这里我会从零开始介绍如何利用这些绘图工具画出一张简洁美观大方,并可以被学术期刊接受并发表的数据图。
好了,废话太多,上代码:
import matplotlib.pyplot as plt
import numpy as np
x = np.linspace(0, 2*np.pi, 50)
y = np.sin(x)
y2 = y + 0.1 * np.random.normal(size=x.shape)
fig, ax = plt.subplots()
ax.plot(x, y, \'k--\')
ax.plot(x, y2, \'ro\')
plt.show()

只是一个简单的正弦函数加上一些噪音,这里数据并不重要,怎么让它漂亮起来是重点。
这个图目前有几个问题。
- 图片大小不知道。一般期刊都会对图片大小有要求,比如Elsevier要求单栏图片宽度90mm,双栏图片宽度190mm。详细要求在这https://www.elsevier.com/authors/author-schemas/artwork-and-media-instructions;
- 什么字体不知道。期刊都会对字体有详细要求,比如Elsevier明确说明等宽字体是Courier,衬线字体是Times New Roman,无衬线字体是Arial或者Helvetica;
- 字体大小不知道。字体大小最好与正文和其他图片大小一致。这是的一致不是说字体大小要一模一样,但也不能差别过大。比如正式是10pt,那图片字体一般9pt或者8pt。但所有的图片字体必须一致。
- 图片有白边,也就是margins,这在大部分期刊里都是不允许的。
那么如何做才能克服以上四点问题,再次上代码:
from matplotlib import rc
rc(\'font\', **{\'family\': \'sans-serif\', \'sans-serif\': [\'Arial\'], \'size\': 8})
params = {\'text.usetex\': False, \'mathtext.fontset\': \'stixsans\'}
plt.rcParams.update(params)
fig, ax = plt.subplots(num=1, figsize=(3.54, 2.26))
plt.subplots_adjust(right=0.99, left=0.125, bottom=0.14, top=0.975)
现在图片是这个样子,应该已经满足大部分期刊的最低要求,注意是最低。接下来还有很多美化工作要作。首先,marker(实在不知道marker的中文翻译是什么,抱歉)尺寸太大,marker的颜色是正红色, rgb(255,0,0),太不美观,并且对色盲群体也不友好。关于颜色的选择这里并不展开,不过有一个很好的参考网站ColorBrewer: Color Advice for Maps。matplotlib也包含了这个网站的各种颜色组合。
先用一小段代码把其中一组颜色"Set1"提取出来
cm_number = 6
cm = plt.cm.get_cmap("Set1", cm_number)
color = []
for i in range(0, cm_number):
color.append(cm(1. / (cm_number - 1) * i))
ax.plot(x, y2, \'o\', markerfacecolor=color[0], markersize=2,
markeredgecolor=color[0])
图片现在成了这个样子。数据可视化有一个重要原则就是去除一切不必要的元素,我想了想发现,上边和右边的轴线我们并不需要,所以两行代码去掉它们ax.spines["right"].set_visible(False)
ax.spines["top"].set_visible(False)
ax.xaxis.grid(True, which=\'major\', lw=0.5, linestyle=\'--\', color=\'0.8\',
zorder=1)
ax.yaxis.grid(True, which=\'major\', lw=0.5, linestyle=\'--\', color=\'0.8\',
zorder=1)
今天先到这里,以后有机会可以讨论下云图怎么画,希望大家多多交流讨论。最后放一些我自认为还满意的图片,知乎不支持矢量图,真是遗憾。



Xfig

Tikz/PGF

OmniGraffle

Inkscape

Dia

Graphviz

GeoGebra

ipe

Mahtematica

conceptdraw

Tikz/PGF

OmniGraffle

Inkscape

Dia

Graphviz

GeoGebra

ipe

Mahtematica

conceptdraw
现今严谨的学术圈流行的:
PGF/TikZ:定性图,精细示意图,简单定量图,数据图表
Asymptote:复杂定量图,三维矢量图
另外还有历史悠久的MetaPost和PSTricks,但总的来说完全可以被以上两个更优秀的后辈替代。
楼主列的这些图,是TikZ的专长,用TikZ画可以做到完美,特别是与LaTeX文档的整体交互,比用一般绘图软件好得多。例如字体匹配,与正文的参数传递,对图的模块化引用等。
缺点是学习曲线过陡,非排版强迫症患者坚持不下来。除了画数据图表的子集pgfplots可以分分钟速成外,PGF/TikZ的其他功能,上手需要一两个星期不停地钻研,精通则需要一两年。
至于Asymptote,表达力强,效果碉堡,你可以把它当成封装了高级绘图命令,然后输出矢量图的OpenGL。它对编程能力的要求同样很高。
PGF/TikZ:定性图,精细示意图,简单定量图,数据图表
Asymptote:复杂定量图,三维矢量图
另外还有历史悠久的MetaPost和PSTricks,但总的来说完全可以被以上两个更优秀的后辈替代。
楼主列的这些图,是TikZ的专长,用TikZ画可以做到完美,特别是与LaTeX文档的整体交互,比用一般绘图软件好得多。例如字体匹配,与正文的参数传递,对图的模块化引用等。
缺点是学习曲线过陡,非排版强迫症患者坚持不下来。除了画数据图表的子集pgfplots可以分分钟速成外,PGF/TikZ的其他功能,上手需要一两个星期不停地钻研,精通则需要一两年。
至于Asymptote,表达力强,效果碉堡,你可以把它当成封装了高级绘图命令,然后输出矢量图的OpenGL。它对编程能力的要求同样很高。
作图软件很多,我用过origin。
但是作图软件和作出漂亮的图是两回事,我用origin作图很简陋,而我的导师则能作得很漂亮。
但是作图软件和作出漂亮的图是两回事,我用origin作图很简陋,而我的导师则能作得很漂亮。
我们常用Illustrator对图形进行很好的编辑,还可以画一些漂亮的示意图。


請允許我重複回答一下、吧!美好的 R ggplot2 包 絕對值得被重複提起嗯!
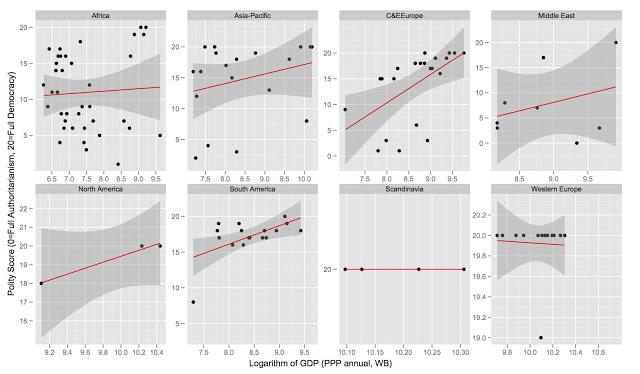
複雜的和美麗的荔紙多得無以附加,其實也許你需要一些更切實的應用,比如多圖對比。下面的圖例摘自網絡,數據來自 Pippa Norris Shared Datasets,做的是 191 個國家 2000年 GDP per capita 與 Polity score of democracy 的散點圖。
先看個用 lattice 包的圖例:

再來看用 ggplot2 的效果:

且不說美不美,是不是立刻感覺信息量大了起來、解釋起來會更輕鬆?嗯,我的碩士論文裡也用了類似上圖的圖例,比較了六個箱圖。
好東西就要廣而告之。相信我!
複雜的和美麗的荔紙多得無以附加,其實也許你需要一些更切實的應用,比如多圖對比。下面的圖例摘自網絡,數據來自 Pippa Norris Shared Datasets,做的是 191 個國家 2000年 GDP per capita 與 Polity score of democracy 的散點圖。
先看個用 lattice 包的圖例:

再來看用 ggplot2 的效果:

且不說美不美,是不是立刻感覺信息量大了起來、解釋起來會更輕鬆?嗯,我的碩士論文裡也用了類似上圖的圖例,比較了六個箱圖。
好東西就要廣而告之。相信我!