链接1:https://www.matongxue.com/madocs/7.html
链接2:https://zhuanlan.zhihu.com/p/74938375
泰勒公式一句话描述:就是用多项式函数去逼近光滑函数。
先来感受一下:
设nn是一个正整数。如果定义在一个包含aa的区间上的函数ff在aa点处n+1n+1次可导,那么对于这个区间上的任意xx都有:f(x)=N∑n=0f(n)(a)n!(x−a)n+Rn(x)f(x)=∑n=0Nf(n)(a)n!(x−a)n+Rn(x),其中的多项式称为函数在aa处的泰勒展开式,Rn(x)Rn(x)是泰勒公式的余项且是(x−a)n(x−a)n的高阶无穷小。
----维基百科
1 多项式的函数图像特点
N∑n=0f(n)(0)n!xn∑n=0Nf(n)(0)n!xn展开来就是f(0)+f′(0)x+f′′(0)2!x2+⋯+f(n)(0)n!xnf(0)+f′(0)x+f″(0)2!x2+⋯+f(n)(0)n!xn,f(0)f(0),f′′(0)2!f″(0)2!这些都是常数,我们暂时不管,先看看其中最基础的组成部分,幂函数有什么特点。
可以看到,幂函数其实只有两种形态,一种是关于YY轴对称,一种是关于原点对称,并且指数越大,增长速度越大。
那幂函数组成的多项式函数有什么特点呢?
怎么才能让x2x2和x9x9的图像特性能结合起来呢?
我们来动手试试看看系数之间如何压制的:
通过改变系数,多项式可以像铁丝一样弯成任意的函数曲线。送你一颗心(虽然是隐函数,意思一下):
2 用多项式对exex进行逼近
exex是麦克劳伦展开形式上最简单的函数,有ee就是这么任性。
ex=1+x+12!x2+⋯+1n!xn+Rn(x)ex=1+x+12!x2+⋯+1n!xn+Rn(x)
增加一个14!x414!x4看看。
增加一个15!x515!x5看看。
可以看出,1n!xn1n!xn不断的弯曲着那根多项式形成的铁丝去逼近exex。并且nn越大,起作用的区域距离0越远。
3 用多项式对sin(x)sin(x)进行逼近
sin(x)sin(x)是周期函数,有非常多的弯曲,难以想象可以用多项式进行逼近。
sin(x)=x−13!x3+⋯+(−1)n(2n+1)!x(2n+1)+Rn(x)sin(x)=x−13!x3+⋯+(−1)n(2n+1)!x(2n+1)+Rn(x)。
同样的,我们再增加一个17!x717!x7试试。
可以看到17!x717!x7在适当的位置,改变了x−13!x3+15!x5x−13!x3+15!x5的弯曲方向,最终让x−13!x3+15!x5−17!x7x−13!x3+15!x5−17!x7更好的逼近了sin(x)sin(x)。
一图胜前言,动手看看sin(x)sin(x)的展开吧:
4 泰勒公式与拉格朗日中值定理的关系
拉格朗日中值定理:如果函数f(x)f(x)满足,在[a,b][a,b]上连续,在(a,b)(a,b)上可导,那么至少有一点θθ(a<θ<ba<θ<b)使等式f′(θ)=f(a)−f(b)a−bf′(θ)=f(a)−f(b)a−b成立。
----维基百科
数学定义的文字描述总是非常严格、拗口,我们来看下拉格朗日中值定理的几何意义:
这个和泰勒公式有什么关系?泰勒公式有个余项Rn(x)Rn(x)我们一直没有提。
余项即使用泰勒公式估算的误差,即f(x)−N∑n=0f(n)(a)n!(x−a)n=Rn(x)f(x)−∑n=0Nf(n)(a)n!(x−a)n=Rn(x)
余项的代数式是,Rn(x)=f(n+1)(θ)(n+1)!(x−a)(n+1)Rn(x)=f(n+1)(θ)(n+1)!(x−a)(n+1),其中a<θ<xa<θ<x。是不是看着有点像了?
当N=0N=0的时候,根据泰勒公式有,f(x)=f(a)+f′(θ)(x−a)f(x)=f(a)+f′(θ)(x−a),把拉格朗日中值定理中的bb换成xx,那么拉格朗日中值定理根本就是N=0N=0时的泰勒公式。
结合拉格朗日中值定理,我们来看看N=0N=0的时候,泰勒公式的几何意义:
当N=0N=0的时候,泰勒公式几何意义很好理解,那么N=1,2,⋯N=1,2,⋯呢?
这个问题我是这么理解的:首先让我们去想象高阶导数的几何意义,一阶是斜率,二阶是曲率,三阶四阶已经没有明显的几何意义了,或许,高阶导数的几何意义不是在三维空间里面呈现的,穿过更高维的时空才能俯视它的含义。现在的我们只是通过代数证明,发现了高维投射到我们平面上的秘密。
还可以这么来思考泰勒公式,泰勒公式让我们可以通过一个点来窥视整个函数的发展,为什么呢?因为点的发展趋势蕴含在导数之中,而导数的发展趋势蕴含在二阶导数之中......四不四很有道理啊?
5 泰勒公式是怎么推导的?
根据“以直代曲、化整为零”的数学思想,产生了泰勒公式。
如上图,把曲线等分为nn份,分别为a1a1,a2a2,⋯⋯,anan,令a1=aa1=a,a2=a+Δxa2=a+Δx,⋯⋯,an=a+(n−1)Δxan=a+(n−1)Δx。我们可以推出(Δ2Δ2,Δ3Δ3可以认为是二阶、三阶微分,其准确的数学用语是差分,和微分相比,一个是有限量,一个是极限量):
f(a2)=f(a+Δx)=f(a)+Δf(x)f(a2)=f(a+Δx)=f(a)+Δf(x)
f(a3)=f(a+2Δx)=f(a+Δx)+Δf(a+Δx)=f(a)+2Δf(x)+Δ2f(x)f(a3)=f(a+2Δx)=f(a+Δx)+Δf(a+Δx)=f(a)+2Δf(x)+Δ2f(x)
f(a4)=f(a+3Δx)=f(a)+4Δf(x)+6Δ2f(x)+4Δ3f(x)+Δ4f(x)f(a4)=f(a+3Δx)=f(a)+4Δf(x)+6Δ2f(x)+4Δ3f(x)+Δ4f(x)
也就是说,f(x)全部可以由aa和ΔxΔx决定,这个就是泰勒公式提出的基本思想。据此的思想,加上极限Δx→0Δx→0,就可以推出泰勒公式。
6 泰勒公式的用处
多项式这种函数是我们可以亲近的函数,它们很开放、很坦白,心里想什么就说什么,比如f(x)=2−3xf(x)=2−3x,这个多项式会告诉我们想问的任何消息,甚至更多,譬如,我们问:“嘿,老兄,你在4那点的值是多少?”这时f(x)f(x)会毫不犹豫的回答:“你把4代进来,就会得到2−3×4=−102−3×4=−10,顺便告诉你,我最近长了奇怪的疹子,痒的要命,还好这两天症状减轻了...”。但是ln(x)ln(x)阴暗、多疑,要是问它:“嗨,你在3的值是多少啊?”你得到的答案可能是:“你要干什么?为什么打听别人的私事?你以为凭着你那点加减乘除的三脚猫功夫就可以查出我的底细?况且我在3的值是多少,干你什么事!”
----《微积分之倚天宝剑》
泰勒公式最直接的一个应用就是用于计算,计算机一般都是把sin(x)sin(x)进行泰勒展开进行计算的。
泰勒公式还可以把问题简化,比如计算,limx→0sin(x)xlimx→0sin(x)x,代入sin(x)sin(x)的泰勒展开有: limx→0sin(x)x=limx→0x+o(x3)x=1limx→0sin(x)x=limx→0x+o(x3)x=1,其中o(x3)o(x3)是泰勒公式里面的余项,是高阶无穷小,limx→0o(x3)=0limx→0o(x3)=0。解题神器有没有?
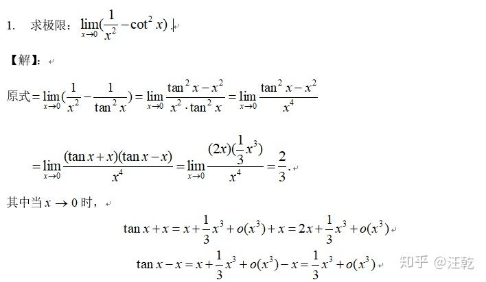
2.1泰勒公式求极限
2.1.1泰勒公式求极限

这里看似使用的等价无穷小,其实并不是这个样子的。是我们在使用了泰勒公式之后,才发现两者的结果一样。这里的分子和分母中最低阶的指数必须是一致的,也就是相同的强调过多次了。这也是我们泰勒公式使用时候的一个辅助信息,大家要牢牢把握。
泰勒公式在求极限问题中的本质就是帮助发现极限式中的因子的最低阶元素,也就是最有效的元素。我们使用泰勒公式就是要精准的定位到最有效的低阶元素。

我们通过泰勒展开后得到的结果发现最低阶元素就是我们的一次方,故显然最后结果表现出来的就是类似于等价无穷小作出来的结果。

这个通过泰勒展开后,我们发现最低阶的一次方刚好被消去了,我们现在判断第二小的阶数是什么,发现是3次方。故得到以上结果。
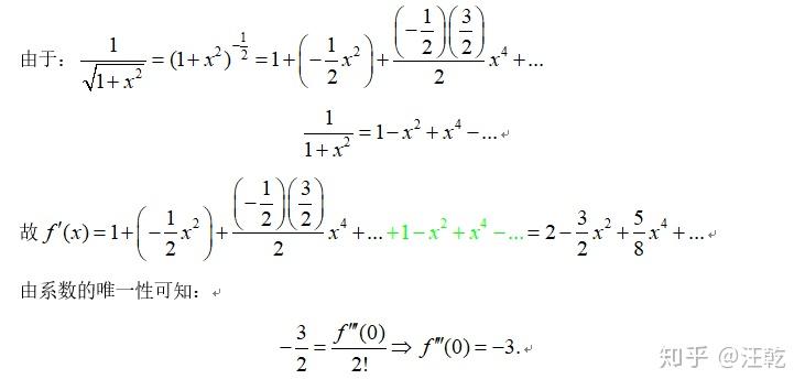
2.1.2泰勒公式确定参数与无穷小阶数
①极限中确定参数的问题,通常使用泰勒公式求解最为快捷。
②确定无穷小的阶数,一定是泰勒公式处理
2.1.3.泰勒公式误区
2.1.3.泰勒公式误区
①等价无穷小是粗略版本的泰勒公式,如何正确使用等价无穷小,加减法能用等价否???
②复合泰勒公式的使用.

这里大家可看出来了,首先使用等价无穷小其实在【正解】中的使用就不可取,因为不满足我们要求的精度,必须使用泰勒公式!
【错解2】:

这里为何又可以呢?
做一个系统的说明:我们在求极限的过程中,一定要注意到一点,我们“含有极限因子的因式”同剩下的“含有极限因子的因式整体”(常数不用管,比如第一题的底数为e,只有指数部分才有含极限因子的因式)为乘除关系,且其取极限之后的结果是一个“非零常数”,我们通常可以直接将其求出极限;如果我们对某个因式求了极限发现还含有极限因子,我们此时是不能够进行计算部分因式的极限的!

2.2泰勒公式求高阶导数

2.3泰勒中值定理
中值定理问题中涉及到二阶及其以上导数时,注意泰勒中值定理的使用