timssd

 

十大数据挖掘算法及各自优势

国际权威的学术组织the IEEE International Conference on Data Mining (ICDM) 2006年12月评选出了数据挖掘领域的十大经典算法:C4.5, k-Means, SVM, Apriori, EM, PageRank, AdaBoost, kNN, Naive Bayes, and CART.

不仅仅是选中的十大算法,其实参加评选的18种算法,实际上随便拿出一种来都可以称得上是经典算法,它们在数据挖掘领域都产生了极为深远的影响。

1. C4.5

C4.5算法是机器学习算法中的一种分类决策树算法,其核心算法是ID3算法. C4.5算法继承了ID3算法的优点,并在以下几方面对ID3算法进行了改进:

1) 用信息增益率来选择属性,克服了用信息增益选择属性时偏向选择取值多的属性的不足;

2) 在树构造过程中进行剪枝;

3) 能够完成对连续属性的离散化处理;

4) 能够对不完整数据进行处理。

C4.5算法有如下优点:产生的分类规则易于理解,准确率较高。其缺点是:在构造树的过程中,需要对数据集进行多次的顺序扫描和排序,因而导致算法的低效。

2. The k-means algorithm 即K-Means算法

k-means algorithm算法是一个聚类算法,把n的对象根据他们的属性分为k个分割,k < n。它与处理混合正态分布的最大期望算法很相似,因为他们都试图找到数据中自然聚类的中心。它假设对象属性来自于空间向量,并且目标是使各个群组内部的均方误差总和最小。

3. Support vector machines

支持向量机,英文为Support Vector Machine,简称SV机(论文中一般简称SVM)。它是一种監督式學習的方法,它广泛的应用于统计分类以及回归分析中。支持向量机将向量映射到一个更高维的空间里,在这个空间里建立有一个最大间隔超平面。在分开数据的超平面的两边建有两个互相平行的超平面。分隔超平面使两个平行超平面的距离最大化。假定平行超平面间的距离或差距越大,分类器的总误差越小。一个极好的指南是C.J.C Burges的《模式识别支持向量机指南》。van der Walt 和 Barnard 将支持向量机和其他分类器进行了比较。

4. The Apriori algorithm

Apriori算法是一种最有影响的挖掘布尔关联规则频繁项集的算法。其核心是基于两阶段频集思想的递推算法。该关联规则在分类上属于单维、单层、布尔关联规则。在这里,所有支持度大于最小支持度的项集称为频繁项集,简称频集。

5. 最大期望(EM)算法

在统计计算中,最大期望(EM,Expectation–Maximization)算法是在概率(probabilistic)模型中寻找参数最大似然估计的算法,其中概率模型依赖于无法观测的隐藏变量(Latent Variabl)。最大期望经常用在机器学习和计算机视觉的数据集聚(Data Clustering)领域。

6. PageRank

PageRank是Google算法的重要内容。2001年9月被授予美国专利,专利人是Google创始人之一拉里·佩奇(Larry Page)。因此,PageRank里的page不是指网页,而是指佩奇,即这个等级方法是以佩奇来命名的。

PageRank根据网站的外部链接和内部链接的数量和质量俩衡量网站的价值。PageRank背后的概念是,每个到页面的链接都是对该页面的一次投票,被链接的越多,就意味着被其他网站投票越多。这个就是所谓的“链接流行度”——衡量多少人愿意将他们的网站和你的网站挂钩。PageRank这个概念引自学术中一篇论文的被引述的频度——即被别人引述的次数越多,一般判断这篇论文的权威性就越高。

7. AdaBoost

Adaboost是一种迭代算法,其核心思想是针对同一个训练集训练不同的分类器(弱分类器),然后把这些弱分类器集合起来,构成一个更强的最终分类器 (强分类器)。其算法本身是通过改变数据分布来实现的,它根据每次训练集之中每个样本的分类是否正确,以及上次的总体分类的准确率,来确定每个样本的权值。将修改过权值的新数据集送给下层分类器进行训练,最后将每次训练得到的分类器最后融合起来,作为最后的决策分类器。

8. kNN: k-nearest neighbor classification

K最近邻(k-Nearest Neighbor,KNN)分类算法,是一个理论上比较成熟的方法,也是最简单的机器学习算法之一。该方法的思路是:如果一个样本在特征空间中的k个最相似(即特征空间中最邻近)的样本中的大多数属于某一个类别,则该样本也属于这个类别。

9. Naive Bayes

在众多的分类模型中,应用最为广泛的两种分类模型是决策树模型(Decision Tree Model)和朴素贝叶斯模型(Naive Bayesian Model,NBC)。 朴素贝叶斯模型发源于古典数学理论,有着坚实的数学基础,以及稳定的分类效率。同时,NBC模型所需估计的参数很少,对缺失数据不太敏感,算法也比较简单。理论上,NBC模型与其他分类方法相比具有最小的误差率。但是实际上并非总是如此,这是因为NBC模型假设属性之间相互独立,这个假设在实际应用中往往是不成立的,这给NBC模型的正确分类带来了一定影响。在属性个数比较多或者属性之间相关性较大时,NBC模型的分类效率比不上决策树模型。而在属性相关性较小时,NBC模型的性能最为良好。

10. CART: 分类与回归树

CART, Classification and Regression Trees。 在分类树下面有两个关键的思想。第一个是关于递归地划分自变量空间的想法;第二个想法是用验证数据进行剪枝。

 

 

 

 

 

 

详细解释数据挖掘中的 10 大算法 

来源:伯乐在线 - 土豆粉ss

网址:http://blog.jobbole.com/90316/

在一份调查问卷中,三个独立专家小组投票选出的十大最有影响力的数据挖掘算法,今天我打算用简单的语言来解释一下。

 

一旦你知道了这些算法是什么、怎么工作、能做什么、在哪里能找到,我希望你能把这篇博文当做一个跳板,学习更多的数据挖掘知识。

 

还等什么?这就开始吧!

 

1.C4.5算法

 

C4.5是做什么的?C4.5 以决策树的形式构建了一个分类器。为了做到这一点,需要给定 C4.5 表达内容已分类的数据集合。

 

等下,什么是分类器呢? 分类器是进行数据挖掘的一个工具,它处理大量需要进行分类的数据,并尝试预测新数据所属的类别。

 

举个例子吧,假定一个包含很多病人信息的数据集。我们知道每个病人的各种信息,比如年龄、脉搏、血压、最大摄氧量、家族病史等。这些叫做数据属性。

 

现在:

 

给定这些属性,我们想预测下病人是否会患癌症。病人可能会进入下面两个分类:会患癌症或者不会患癌症。 C4.5 算法会告诉我们每个病人的分类。

 

做法是这样的:

 

用一个病人的数据属性集和对应病人的反馈类型,C4.5 构建了一个基于新病人属性预测他们类型的决策树。

 

这点很棒,那么什么是决策树呢?决策树学习是创建一种类似与流程图的东西对新数据进行分类。使用同样的病人例子,一个特定的流程图路径可以是这样的:

 

  • 病人有癌症的病史

  • 病人有和癌症病人高度相似的基因表达

  • 病人有肿瘤

  • 病人的肿瘤大小超过了5cm

 

基本原则是:

 

流程图的每个环节都是一个关于属性值的问题,并根据这些数值,病人就被分类了。你可以找到很多决策树的例子。

 

算法是监督学习还是无监督学习呢?这是一个监督学习算法,因为训练数据是已经分好类的。使用分好类的病人数据,C4.5算法不需要自己学习病人是否会患癌症。

 

那 C4.5 算法和决策树系统有什么区别呢?

 

首先,C4.5 算法在生成信息树的时候使用了信息增益。

 

其次,尽管其他系统也包含剪枝,C4.5使用了一个单向的剪枝过程来缓解过渡拟合。剪枝给结果带来了很多改进。

 

再次,C4.5算法既可以处理连续数据也可以处理离散数据。我的理解是,算法通过对连续的数据指定范围或者阈值,从而把连续数据转化为离散的数据。

 

最后,不完全的数据用算法自有的方式进行了处理。

 

为什么使用 C4.5算法呢?可以这么说,决策树最好的卖点是他们方便于翻译和解释。他们速度也很快,是种比较流行的算法。输出的结果简单易懂。

 

哪里可以使用它呢? 在 OpenTox 上可以找到一个很流行的开源 Java实现方法。Orange 是一个用于数据挖掘的开源数据可视化和分析工具,它的决策树分类器是用 C4.5实现的。

 

分类器是很棒的东西,但也请看看下一个聚类算法….

 

2. k 均值聚类算法

 

它是做什么的呢?K-聚类算法从一个目标集中创建多个组,每个组的成员都是比较相似的。这是个想要探索一个数据集时比较流行的聚类分析技术。

 

等下,什么是聚类分析呢?聚类分析属于设计构建组群的算法,这里的组成员相对于非组成员有更多的相似性。在聚类分析的世界里,类和组是相同的意思。

 

举个例子,假设我们定义一个病人的数据集。在聚类分析里,这些病人可以叫做观察对象。我们知道每个病人的各类信息,比如年龄、血压、血型、最大含氧量和胆固醇含量等。这是一个表达病人特性的向量。

 

请看:

 

你可以基本认为一个向量代表了我们所知道的病人情况的一列数据。这列数据也可以理解为多维空间的坐标。脉搏是一维坐标,血型是其他维度的坐标等等。

 

你可能会有疑问:

 

给定这个向量集合,我们怎么把具有相似年龄、脉搏和血压等数据的病人聚类呢?

 

想知道最棒的部分是什么吗?

 

你告诉 k-means 算法你想要多少种类。K-means 算法会处理后面的部分。

 

那它是怎么处理的呢?k-means 算法有很多优化特定数据类型的变量。

 

Kmeans算法更深层次的这样处理问题:

 

  1. k-means 算法在多维空间中挑选一些点代表每一个 k 类。他们叫做中心点。

  2. 每个病人会在这 k 个中心点中找到离自己最近的一个。我们希望病人最靠近的点不要是同一个中心点,所以他们在靠近他们最近的中心点周围形成一个类。

  3. 我们现在有 k 个类,并且现在每个病人都是一个类中的一员。

  4. 之后k-means 算法根据它的类成员找到每个 k 聚类的中心(没错,用的就是病人信息向量)

  5. 这个中心成为类新的中心点。

  6. 因为现在中心点在不同的位置上了,病人可能现在靠近了其他的中心点。换句话说,他们可能会修改自己的类成员身份。

  7. 重复2-6步直到中心点不再改变,这样类成员也就稳定了。这也叫做收敛性。

 

这算法是监督的还是非监督的呢?这要看情况了,但是大多数情况下 k-means 会被划分为非监督学习的类型。并不是指定分类的个数,也没有观察对象该属于那个类的任何信息,k-means算法自己“学习”如何聚类。k-means 可以是半监督的。

 

为什么要使用 k-means 算法呢?我认为大多数人都同意这一点:

 

k-means 关键卖点是它的简单。它的简易型意味着它通常要比其他的算法更快更有效,尤其是要大量数据集的情况下更是如此。

 

他可以这样改进:

 

k-means 可以对已经大量数据集进行预先聚类处理,然后在针对每个子类做成本更高点的聚类分析。k-means 也能用来快速的处理“K”和探索数据集中是否有被忽视的模式或关系。

 

但用k-means 算法也不是一帆风顺的:

 

k means算法的两个关键弱点分别是它对异常值的敏感性和它对初始中心点选择的敏感性。最后一个需要记住的是, K-means 算法是设计来处理连续数据的。对于离散数据你需要使用一些小技巧后才能让 K-means 算法奏效。

 

Kmeans 在哪里使用过呢? 网上有很多可获得的 kmeans 聚类算法的语言实现:

 

▪ Apache Mahout

▪ Julia

▪ R

▪ SciPy

▪ Weka

▪ MATLAB

▪ SAS

( http://blog.jobbole.com/90316/ 点击“阅读原文” ,可跳转阅读)

 

如果决策树和聚类算法还没有打动你,那么你会喜欢下一个算法的。

 

3.支持向量机

 

它是做什么的呢?支持向量机(SVM)获取一个超平面将数据分成两类。以高水准要求来看,除了不会使用决策树以外,SVM与 C4.5算法是执行相似的任务的。

 

咦?一个超..什么? 超平面(hyperplane)是个函数,类似于解析一条线的方程。实际上,对于只有两个属性的简单分类任务来说,超平面可以是一条线的。

 

其实事实证明:

 

SVM 可以使用一个小技巧,把你的数据提升到更高的维度去处理。一旦提升到更高的维度中,SVM算法会计算出把你的数据分离成两类的最好的超平面。

 

有例子么?当然,举个最简单的例子。我发现桌子上开始就有一堆红球和蓝球,如果这这些球没有过分的混合在一起,不用移动这些球,你可以拿一根棍子把它们分离开。

 

你看,当在桌上加一个新球时,通过已经知道的棍字的哪一边是哪个颜色的球,你就可以预测这个新球的颜色了。

 

最酷的部分是什么呢?SVM 算法可以算出这个超平面的方程。

 

如果事情变得更复杂该怎么办?当然了,事情通常都很复杂。如果球是混合在一起的,一根直棍就不能解决问题了。

 

下面是解决方案:

 

快速提起桌子,把所有的球抛向空中,当所有的球以正确的方式抛在空中是,你使用一张很大的纸在空中分开这些球。

 

你可能会想这是不是犯规了。不,提起桌子就等同于把你的数据映射到了高维空间中。这个例子中,我们从桌子表面的二维空间过度到了球在空中的三维空间。

 

那么 SVM该怎么做呢?通过使用核函数(kernel),我们在高维空间也有很棒的操作方法。这张大纸依然叫做超平面,但是现在它对应的方程是描述一个平面而不是一条线了。根据 Yuval 的说法,一旦我们在三维空间处理问题,超平面肯定是一个面而不是线了。

 

关于 SVM的解释思路,Reddit 的 ELI5 和 ML 两个子版块上也有两个很棒的讨论帖。

 

那么在桌上或者空中的球怎么用现实的数据解释呢?桌上的每个球都有自己的位置,我们可以用坐标来表示。打个比方,一个球可能是距离桌子左边缘20cm 距离底部边缘 50 cm,另一种描述这个球的方式是使用坐标(x,y)或者(20,50)表达。x和 y 是代表球的两个维度。

 

可以这样理解:如果我们有个病人的数据集,每个病人可以用很多指标来描述,比如脉搏,胆固醇水平,血压等。每个指标都代表一个维度。

 

基本上,SVM 把数据映射到一个更高维的空间然后找到一个能分类的超平面。

 

类间间隔(margin)经常会和 SVM 联系起来,类间间隔是什么呢?它是超平面和各自类中离超平面最近的数据点间的距离。在球和桌面的例子中,棍子和最近的红球和蓝球间的距离就是类间间隔(margin)。

 

SVM 的关键在于,它试图最大化这个类间间隔,使分类的超平面远离红球和蓝球。这样就能降低误分类的可能性。

 

那么支持向量机的名字是哪里来的?还是球和桌子的例子中,超平面到红球和蓝球的距离是相等的。这些球或者说数据点叫做支持向量,因为它们都是支持这个超平面的。

 

那这是监督算法还是非监督的呢?SVM 属于监督学习。因为开始需要使用一个数据集让 SVM学习这些数据中的类型。只有这样之后 SVM 才有能力对新数据进行分类。

 

为什么我们要用 SVM 呢? SVM 和 C4.5大体上都是优先尝试的二类分类器。根据“没有免费午餐原理”,没有哪一种分类器在所有情况下都是最好的。此外,核函数的选择和可解释性是算法的弱点所在。

 

在哪里使用 SVM?有什么 SVM 的实现方法,比较流行的是用scikit-learn, MATLAB 和 libsvm实现的这几种。

 

下面要介绍的算法是我最喜欢的算法之一:

 

4. Apriori 关联算法

 

它是做什么的?Apriori算法学习数据的关联规则(association rules),适用于包含大量事务(transcation)的数据库。

 

什么是关联规则?关联规则学习是学习数据库中不同变量中的相互关系的一种数据挖掘技术。

 

举个 Apriori 算法的例子:我们假设有一个充满超市交易数据的数据库,你可以把数据库想象成一个巨大的电子数据表,表里每一行是一个顾客的交易情况,每一列代表不用的货物项。

 

 

精彩的部分来了:通过使用 Apriori 算法,我们就知道了同时被购买的货物项,这也叫做关联规则。它的强大之处在于,你能发现相比较其他货物来说,有一些货物更频繁的被同时购买—终极目的是让购物者买更多的东西。这些常被一起购买的货物项被称为项集(itemset)。

 

举个例子,你大概能很快看到“薯条+蘸酱”和“薯条+苏打水”的组合频繁的一起出现。这些组合被称为2-itemsets。在一个足够大的数据集中,就会很难“看到”这些关系了,尤其当还要处理3-itemset 或者更多项集的时候。这正是 Apriori 可以帮忙的地方!

 

你可能会对 Apriori 算法如何工作有疑问,在进入算法本质和细节之前,得先明确3件事情:

 

  • 第一是你的项集的大小,你想看到的模式是2-itemset或3-itemset 还是其他的?

  • 第二是你支持的项集,或者是从事务的总数划分出的事务包含的项集。一个满足支持度的项集叫做频繁项集。

  • 第三是根据你已经统计的项集中某些数据项,计算其他某个数据项出现的信心水准或是条件概率。例如项集中出现的薯片的话,有67%的信心水准这个项集中也会出现苏打水。

基本的 Apriori 算法有三步:

 

参与,扫描一遍整个数据库,计算1-itemsets 出现的频率。

剪枝,满足支持度和可信度的这些1-itemsets移动到下一轮流程,再寻找出现的2-itemsets。

重复,对于每种水平的项集 一直重复计算,知道我们之前定义的项集大小为止。

这个算法是监督的还是非监督的?Apriori 一般被认为是一种非监督的学习方法,因为它经常用来挖掘和发现有趣的模式和关系。

 

但是,等下,还有呢…对Apriori 算法改造一下也能对已经标记好的数据进行分类。

 

为什么使用Apriori 算法?它易于理解,应用简单,还有很多的派生算法。

 

但另一方面…

 

当生成项集的时候,算法是很耗费内存、空间和时间。

 

大量的 Apriori 算法的语言实现可供使用。比较流行的是 ARtool, Weka, and Orange。

 

下一个算法对我来说是最难的,一起来看下吧。

 

5.EM 最大期望算法

 

EM 算法是做什么的?在数据挖掘领域,最大期望算法(Expectation-Maximization,EM) 一般作为聚类算法(类似 kmeans 算法)用来知识挖掘。

 

在统计学上,当估算带有无法观测隐藏变量的统计模型参数时,EM 算法不断迭代和优化可以观测数据的似然估计值。

 

好,稍等让我解释一下…

 

我不是一个统计学家,所以希望我的简洁表达能正确并能帮助理解。

 

下面是一些概念,能帮我们更好的理解问题。

 

什么事统计模型?我把模型看做是描述观测数据是如何生成的。例如,一场考试的分数可能符合一种钟形曲线,因此这种分数分布符合钟形曲线(也称正态分布)的假设就是模型。

 

等下,那什么是分布?分布代表了对所有可测量结果的可能性。例如,一场考试的分数可能符合一个正态分布。这个正态分布代表了分数的所有可能性。换句话说,给定一个分数,你可以用这个分布来预计多少考试参与者可能会得到这个分数。

 

这很不错,那模型的参数又是什么呢?作为模型的一部分,分布属性正是由参数来描述的。例如,一个钟形曲线可以用它的均值和方差来描述。

 

还是使用考试的例子,一场考试的分数分布(可测量的结果)符合一个钟形曲线(就是分布)。均值是85,方差是100.

 

那么,你描述正态分布需要的所有东西就是这两个参数:

 

  • 平均值

  • 方差

 

那么,似然性呢?回到我们之前的钟形曲线例子,假设我们已经拿到很多的分数数据,并被告知分数符合一个钟形曲线。然而,我们并没有给到所有的分数,只是拿到了一个样本。

 

可以这样做:

 

我们不知道所有分数的平均值或者方差,但是我们可以使用样本计算它们。似然性就是用估计的方差和平均值得到的钟形曲线在算出很多分数的概率。

 

换句话说,给定一系列可测定的结果,让我们来估算参数。再使用这些估算出的参数,得到结果的这个假设概率就被称为似然性。

 

记住,这是已存在分数的假设概率,并不是未来分数的概率。

 

你可能会疑问,那概率又是什么?

 

还用钟形曲线的例子解释,假设我们知道均值和方差。然我们被告知分数符合钟形曲线。我们观察到的某些分数的可能性和他们多久一次的被观测到就是概率。

 

更通俗的讲,给定参数,让我们来计算可以观察到什么结果。这就是概率为我们做的事情。

 

很好,现在,观测到的数据和未观测到的隐藏数据区别在哪里?观测到的数据就是你看到或者记录的数据。未观测的数据就是遗失的数据。数据丢失的原因有很多(没有记录,被忽视了,等等原因)。

 

算法的优势是:对于数据挖掘和聚类,观察到遗失的数据的这类数据点对我们来说很重要。我们不知道具体的类,因此这样处理丢失数据对使用 EM 算法做聚类的任务来说是很关键的。

 

再说一次,当估算带有无法观测隐藏变量的统计模型参数时,EM 算法不断迭代和优化可以观测数据的似然估计值。 希望现在再说更容易理解了。

 

算法的精髓在于:

 

通过优化似然性,EM 生成了一个很棒的模型,这个模型可以对数据点指定类型标签—听起来像是聚类算法!

 

EM 算法是怎么帮助实现聚类的呢?EM 算法以对模型参数的猜测开始。然后接下来它会进行一个循环的3步:

 

E 过程:基于模型参数,它会针对每个数据点计算对聚类的分配概率。

M 过程:基于 E 过程的聚类分配,更新模型参数。

重复知道模型参数和聚类分配工作稳定(也可以称为收敛)。

EM 是监督算法还是非监督算法呢?因为我们不提供已经标好的分类信息,这是个非监督学习算法。

 

为什么使用它?EM 算法的一个关键卖点就是它的实现简单直接。另外,它不但可以优化模型参数,还可以反复的对丢失数据进行猜测。

 

这使算法在聚类和产生带参数的模型上都表现出色。在得知聚类情况和模型参数的情况下,我们有可能解释清楚有相同属性的分类情况和新数据属于哪个类之中。

 

不过EM 算法也不是没有弱点…

 

第一,EM 算法在早期迭代中都运行速度很快,但是越后面的迭代速度越慢。

 

第二,EM 算法并不能总是寻到最优参数,很容易陷入局部最优而不是找到全局最优解。

 

EM 算法实现可以在 Weka中找到,mclust package里面有 R 语言对算法的实现,scikit-learn的gmm module里也有对它的实现。

 

6.PageRank算法

 

算法是做什么的?PageRank是为了决定一些对象和同网络中的其他对象之间的相对重要程度而设计的连接分析算法(link analysis algorithm)。

 

那么什么是连接分析算法呢?它是一类针对网络的分析算法,探寻对象间的关系(也可成为连接)。

 

举个例子:最流行的 PageRank 算法是 Google 的搜索引擎。尽管他们的搜索引擎不止是依靠它,但 PageRank依然是 Google 用来测算网页重要度的手段之一。

 

解释一下:

 

万维网上的网页都是互相链接的。如果 Rayli.net 链接到了 CNN 上的一个网页,CNN 网页就增加一个投票,表示 rayli.net 和 CNN 网页是关联的。

 

这还没有结束:

 

反过来,来自rayli.net 网页的投票重要性也要根据 rayli.net 网的重要性和关联性来权衡。换句话说,任何给 rayli.net 投票的网页也能提升 rayli.net 网页的关联性。

 

基本概括一下:

 

投票和关联性就是 PageRank 的概念。rayli.net 给CNN 投票增加了 CNN 的 Pagerank,rayli.net 的 PageRank级别同时也影响着它为 CNN 投票多大程度影响了CNN 的 PageRank。

 

那么 PageRank 的0,1,2,3级别是什么意思? 尽管 Google 并没有揭露PageRank 的精确含义,我们还是能了解它的大概意思。

 

我们能通过下面这些网站的PageRank得到些答案:

 

 

看到了么?

 

这排名有点像一个网页流行度的竞争。我们的头脑中都有了一些这些网站的流行度和关联度的信息。

 

PageRank只是一个特别讲究的方式来定义了这些而已。

 

PageRank还有什么其他应用呢? PageRank是专门为了万维网设计的。

 

可以考虑一下,以核心功能的角度看,PageRank算法真的只是一个处理链接分析极度有效率的方法。处理的被链接的对象不止只是针对网页。

 

下面是 PageRank3个创新的应用:

 

  1. 芝加哥大学的Dr Stefano Allesina,将 PageRank应用到了生态学中,测定哪个物种对可持续的生态系统至关重要。

  2. Twitter 研究出了一种叫 WTF(Who-to-Follow)算法,这是一种个性化的 PageRank推荐关注人的引擎。

  3. 香港理工大学的 Bin Jiang 使用一种变形的PageRank来预测基于伦敦地形指标的行人移动速率。

 

这算法是监督的还是非监督的?PageRank常用来发现一个网页的重要度关联度,通常被认为是一种非监督学习算法。

 

为什么使用PageRank?可以说,PageRank的主要卖点是:由于得到新相关链接具有难度,算法依然具有良好的鲁棒性。

 

更简单一点说,如果你又一个图或者网络,并想理解其中元素的相对重要性,优先性,排名或者相关性,可以用PageRank试一试。

 

哪里使用过它呢?Google 拥有PageRank 的商标。但是斯坦福大学取得了PageRank 算法的专利权。如果使用 PageRank,你可能会有疑问: 我不是律师,所以最好和一个真正的律师确认一下。但是只要和 Google 或斯坦福没有涉及到商业竞争,应该都是可以使用这个算法的。

 

给出PageRank 的三个实现:

 

1 C++ OpenSource PageRank Implementation

2 Python PageRank Implementation

3 igraph – The network analysis package (R)

(点击“阅读原文”,可跳转阅读)

 

7.AdaBoost 迭代算法

 

AdaBoost 算法是做什么的?AdaBoost 是个构建分类器的提升算法。

 

也许你还记得,分类器拿走大量数据,并试图预测或者分类新数据元素的属于的类别。

 

但是,提升(boost) 指的什么?提升是个处理多个学习算法(比如决策树)并将他们合并联合起来的综合的学习算法。目的是将弱学习算法综合或形成一个组,把他们联合起来创造一个新的强学习器。

 

强弱学习器之间有什么区别呢?弱学习分类器的准确性仅仅比猜测高一点。一个比较流行的弱分类器的例子就是只有一层的决策树。

 

另一个,强学习分类器有更高的准确率,一个通用的强学习器的例子就是 SVM。

 

举个 AdaBoost 算法的例子:我们开始有3个弱学习器,我们将在一个包含病人数据的数据训练集上对他们做10轮训练。数据集里包含了病人的医疗记录各个细节。

 

问题来了,那我们怎么预测某个病人是否会得癌症呢?AdaBoost 是这样给出答案的:

 

第一轮,AdaBoost 拿走一些训练数据,然后测试每个学习器的准确率。最后的结果就是我们找到最好的那个学习器。另外,误分类的样本学习器给予一个比较高的权重,这样他们在下轮就有很高的概率被选中了。

 

再补充一下,最好的那个学习器也要给根据它的准确率赋予一个权重,并将它加入到联合学习器中(这样现在就只有一个分类器了)

 

第二轮, AdaBoost 再次试图寻找最好的学习器。

 

关键部分来了,病人数据样本的训练数据现在被有很高误分配率的权重影响着。换句话说,之前误分类的病人在这个样本里有很高的出现概率。

 

为什么?

 

这就像是在电子游戏中已经打到了第二级,但当你的角色死亡后却不必从头开始。而是你从第二级开始然后集中注意,尽力升到第三级。

 

同样地,第一个学习者有可能对一些病人的分类是正确的,与其再度试图对他们分类,不如集中注意尽力处理被误分类的病人。

 

最好的学习器也被再次赋予权重并加入到联合分类器中,误分类的病人也被赋予权重,这样他们就有比较大的可能性再次被选中,我们会进行过滤和重复。

 

在10轮结束的时候,我们剩下了一个带着不同权重的已经训练过的联合学习分类器,之后重复训练之前回合中被误分类的数据。

 

这是个监督还是非监督算法?因为每一轮训练带有已经标记好数据集的弱训练器,因此这是个监督学习。

 

为什么使用 AdaBoost?AdaBoost算法简单, 编程相对来说简洁直白。

 

另外,它速度快!弱学习器 一般都比强学习器简单,简单意味着它们的运行速度可能更快。

 

还有件事:

 

因为每轮连续的Adaboost回合都重新定义了每个最好学习器的权重,因此这是个自动调整学习分类器的非常简洁的算法,你所要做的所有事就是指定运行的回合数。

 

最后,算法灵活通用,AdaBoost 可以加入任何学习算法,并且它能处理多种数据。

 

AdaBoost 有很多程序实现和变体。给出一些:

 

▪ scikit-learn

▪ ICSIBoost

▪ gbm: Generalized Boosted Regression Models

(点击“阅读原文”,可跳转阅读)

 

如果你喜欢Mr.Rogers,你会喜欢下面的算法的…

 

8.kNN:k最近邻算法

 

它是做什么的?kNN,或 K 最近邻(k-Nearest Neighbors), 诗歌分类算法。然而,它和我们之前描述的分类器不同,因为它是个懒散学习法。

 

什么是懒散学习法呢?和存储训练数据的算法不同,懒散学习法在训练过程中不需要做许多处理。只有当新的未被分类的数据输入时,这类算法才会去做分类。

 

但在另一方面,积极学习法则会在训练中建立一个分类模型,当新的未分类数据输入时,这类学习器会把新数据也提供给这个分类模型。

 

那么 C4.5,SVM 和 AdaBoost 属于哪类呢?不像 kNN算法,他们都是积极学习算法。

 

给出原因:

 

1 C4.5 在训练中建立了一个决策分类树模型。

2 SVM在训练中建立了一个超平面的分类模型。

3 AdaBoost在训练中建立了一个联合的分类模型。

 

那么 kNN 做了什么? kNN 没有建立这样的分类模型,相反,它只是储存了一些分类好的训练数据。那么新的训练数据进入时,kNN 执行两个基本步骤:

 

1 首先,它观察最近的已经分类的训练数据点—也就是,k最临近点(k-nearest neighbors)

 

2 第二部,kNN使用新数据最近的邻近点的分类, 就对新数据分类得到了更好的结果了。

 

你可能会怀疑…kNN 是怎么计算出最近的是什么? 对于连续数据来说,kNN 使用一个像欧氏距离的距离测度,距离测度的选择大多取决于数据类型。有的甚至会根据训练数据学习出一种距离测度。关于 kNN 距离测度有更多的细节讨论和论文描述。

 

对于离散数据,解决方法是可以把离散数据转化为连续数据。给出两个例子:

 

1 使用汉明距离(Hamming distance )作为两个字符串紧密程度的测度。

 

2 把离散数据转化为二进制表征。

 

这两个来自Stack Overflow的思路也有一些关于处理离散数据的建议:

 

▪ KNN classification with categorical data

▪ Using k-NN in R with categorical values

(点击“阅读原文”,可跳转阅读)

 

当临近的点是不同的类,kNN 怎么给新数据分类呢?当临近点都是同一类的时候,kNN 也就不费力气了。我们用直觉考虑,如果附近点都一致,那么新数据点就很可能落入这同一个类中了。

 

我打赌你能猜到事情是从哪里开始变的麻烦的了…

 

当临近点不是同一类时,kNN 怎么决定分类情况的呢?

 

处理这种情况通常有两种办法:

 

1 通过这些临近点做个简单的多数投票法。哪个类有更多的票,新数据就属于那个类。

 

2 还是做个类似的投票,但是不同的是,要给那些离的更近的临近点更多的投票权重。这样做的一个简单方法是使用反距离(reciprocal distance). 比如,如果某个临近点距离5个单位,那么它的投票权重就是1/5.当临近点越来越远是,倒数距离就越来越小…这正是我们想要的。

 

这是个监督算法还是非监督的呢?因为 kNN 算法提供了已经被分类好的数据集,所以它是个监督学习算法。

 

为什么我们会用 kNN?便于理解和实现是我们使用它的两个关键原因。根据距离测度的方法,kNN 可能会非常精确。

 

但是这还只是故事的一部分,下面是我们需要注意的5点:

 

1 当试图在一个大数据集上计算最临近点时,kNN 算法可能会耗费高昂的计算成本。

 

2 噪声数据(Noisy data)可能会影响到 kNN 的分类。

 

3 选择大范围的属性筛选(feature)会比小范围的筛选占有很多优势,所以属性筛选(feature)的规模非常重要。

 

4 由于数据处理会出现延迟,kNN 相比积极分类器,一般需要更强大的存储需求。

 

5 选择一个合适的距离测度对 kNN 的准确性来说至关重要。

 

哪里用过这个方法?有很多现存的 kNN 实现手段:

 

▪ MATLAB k-nearest neighbor classification

▪ scikit-learn KNeighborsClassifier

▪ k-Nearest Neighbour Classification in R

(点击“阅读原文”,可跳转阅读)

 

是不是垃圾,先别管了。先读读下面的算法吧….

 

9. Naive Bayes 朴素贝叶斯算法

 

算法是做什么的?朴素贝叶斯(Naive Bayes)并不只是一个算法,而是一系列分类算法,这些算法以一个共同的假设为前提:

 

被分类的数据的每个属性与在这个类中它其他的属性是独立的。

 

独立是什么意思呢?当一个属性值对另一个属性值不产生任何影响时,就称这两个属性是独立的。

 

举个例子:

 

比如说你有一个病人的数据集,包含了病人的脉搏,胆固醇水平,体重,身高和邮编这样的属性。如果这些属性值互相不产生影响,那么所有属性都是独立的。对于这个数据集来说,假定病人的身高和邮编相互独立,这是合理的。因为病人的身高和他们的邮编没有任何关系。但是我们不能停在这,其他的属性间是独立的么?

 

很遗憾,答案是否定的。给出三个并不独立的属性关系:

 

▪ 如果身高增加,体重可能会增加。

 

▪ 如果胆固醇水平增加,体重可能增加。

 

▪ 如果胆固醇水平增加,脉搏也可能会增加。

 

以我的经验来看,数据集的属性一般都不是独立的。

 

这样就和下面的问题联系起来了…

 

为什么要把算法称为朴素的(naive)呢?数据集中所有属性都是独立的这个假设正是我们称为朴素(naive)的原因—— 通常下例子中的所有属性并不是独立的。

 

什么是贝叶斯(Bayes)?Thomas Bayes 是一个英国统计学家,贝叶斯定理就是以他名字命名的。点击这个链接可以知道更多贝叶斯定理的内容(Bayes’ Theorem)

 

总而言之,根据给定的一系列属性信息,借用概率的知识,我们可以使用这个定理来预测分类情况。

 

分类的简化等式看起来就像下面的这个式子:

 

条件概率

 

我们在深入研究一下..

 

这个等式是什么意思?在属性1和属性2的条件下,等式计算出了A 类的概率。换句话说,如果算出属性1 和2,等式算出的数据属于 A 类的概率大小。

 

等式这样写解释为:在属性1和属性2条件下,分类 A 的概率是一个分数。

 

▪ 分数的分子是在分类 A条件下属性1的概率,乘以在分类 A 条件下属性2的概率,再乘以分类 A 的概率

▪ 分数的分母是属性1的概率乘以属性2的概率。

 

举个 Naive Bayes 的例子,下面是一个从 Stack Overflow thread (Ram’s answer)中找到的一个好例子。

 

事情是这样的:

 

▪ 我们有个1000个水果的训练数据集。

▪ 水果可能是香蕉,橘子或者其他(这些水果种类就是类)

▪ 水果可能是长形的、甜的、或者黄颜色的(这些是属性).

 

 

在这个训练集中你发现了什么?

 

▪ 500个香蕉中,长的有400个、甜的有350个、黄色的450个

▪ 300个橘子中、没有长的、甜的150个、黄色的300个

▪ 还剩下的200个水果中、长的100个、甜的150个、黄色的50个

 

如果我们根据长度、甜度和水果颜色,在不知道它们类别的情况下,我们现在可以计算水果是香蕉、橘子或者其他水果的概率了。

 

假设我们被告知这个未分类的水果是长的、甜的、黄色的。

 

下面我们以4个步骤来计算所有的概率:

 

第一步:想要计算水果是香蕉的概率,我们首先发现这个式子看起来很熟悉。这就是在属性为长形、甜和黄色的条件下,水果是香蕉类的概率,这个表达更简洁一些:

 

 

banana 条件概率

 

这确实就像我们之前讨论的那个等式。

 

第二步:以分子开始,让我们把公式的所有东西都加进去。 

像公式一样,把所有的都乘起来,我们就得到了:

第三步:不用管分母了,因为计算别的分类时分子是一样的。

第四步:计算其他类时也做类似的计算:

 

因为0.252大于0.01875,Naive Bayes 会把长形,甜的还是黄色水果分到香蕉的一类中 

这是个监督算法还是非监督算法呢? 为了得到频数表,Naive Bayes 提供了已经分好类的训练数据集,所以这是个监督学习算法。

为什么使用 Naive Bayes?就像你在上面看到的例子一样,Naive Bayes 只涉及到了简单的数学知识。加起来只有计数、乘法和除法而已。

一旦计算好了频数表(frequency tables),要分类一个未知的水果只涉及到计算下针对所有类的概率,然后选择概率最大的即可。

尽管算法很简单,但是 Naive Bayes 却出人意料的十分精确。比如,人们发现它是垃圾邮件过滤的高效算法。

Naive Bayes 的实现可以从Orange, scikit-learn, Weka 和 R 里面找到。

 

10.CART 分类算法

算法是做什么的? CART 代表分类和回归树(classification and regression trees)。它是个决策树学习方法,同时输出分类和回归树。 像 C4.5一样,CART 是个分类器。

分类树像决策树一样么?分类树是决策树的一种。分类树的输出是一个类。

举个例子,根据一个病人的数据集、你可能会试图预测下病人是否会得癌症。这个分类或者是“会的癌症”或者是“不会得癌症”。

那回归树是什么呢?和分类树预测分类不同,回归树预测一个数字或者连续数值,比如一个病人的住院时间或者一部智能手机的价格。

这么记比较简单:

分类树输出类、回归树输出数字。

由于我们已经讲过决策树是如何分类数据的了,我们就直接跳过进入正题了… 

CART和 C4.5对比如下:

 

这是个监督算法还是非监督的呢?为了构造分类和回归树模型,需要给它提供被分类好的训练数据集,因此 CART 是个监督学习算法。

为什么要使用 CART 呢?使用 C4.5的原因大部分也适用于 CART,因为它们都是决策树学习的方法。便于说明和解释这类的原因也适用于 CART。

和 C4.5一样,它们的计算速度都很快,算法也都比较通用流行,并且输出结果也具有可读性。 

scikit-learn 在他们的决策树分类器部分实现了 CART 算法;R 语言的 tree package 也有 CART 的实现;Weka 和 MATLAB 也有CART的实现过程。

最后,基于斯坦福和加州大学伯克利分校的世界闻名的统计学家们的理论,只有 Salford系统有最原始的 CART 专利源码的实现部分。

 

 

 

 

机器学习常见算法总结

1. KNN
KNN(k-nearest neighbor)的思路很简单,就是计算测试数据与类别中心的距离。KNN实际上利用训练数据集对特征向量进行空间划分,并作为其分类的模型。K值的选择、距离度量及分类决策规则是KNN的三个基本要素。
1.1 算法步骤:

step.1—初始化距离为最大值
step.2—计算未知样本和每个训练样本的距离dist
step.3—得到目前K个最临近样本中的最大距离maxdist
step.4—如果dist小于maxdist,则将该训练样本作为K-最近邻样本
step.5—重复步骤2、3、4,直到未知样本和所有训练样本的距离都算完
step.6—统计K-最近邻样本中每个类标号出现的次数
step.7—选择出现频率最大的类标号作为未知样本的类标号

1.2 常见问题

距离度量选择
一般采用马氏距离或者欧式距离。
高维度对距离衡量的影响:众所周知当变量数越多,欧式距离的区分能力就越差。变量值域对距离的影响:值域越大的变量常常会在距离计算中占据主导作用,因此应先对变量进行标准化。

K值选择
k太小,分类结果易受噪声点影响;k太大,近邻中又可能包含太多的其它类别的点。(对距离加权,可以降低k值设定的影响)。
k值通常是采用交叉检验来确定(以k=1为基准)。
经验规则:k一般低于训练样本数的平方根。

决策规则
投票法没有考虑近邻的距离的远近,距离更近的近邻也许更应该决定最终的分类,所以加权投票法更恰当一些。

性能问题
kNN是一种懒惰算法,平时不好好学习,考试(对测试样本分类)时才临阵磨枪(临时去找k个近邻)。
懒惰的后果:构造模型很简单,但在对测试样本分类地的系统开销大,因为要扫描全部训练样本并计算距离。
已经有一些方法提高计算的效率,例如压缩训练样本量等。

优缺点
优点:理论简单、实现容易、高精度、对异常值不敏感。
缺点:计算复杂度高,样本不平衡敏感导致预测偏差较大。

应用领域
KNN既可以做分类也可以做回归,一般用在文本分类、模式识别、聚类分析,多分类领域。

2. Naive Bayes
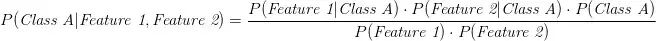
朴素贝叶斯法是基于贝叶斯定理与特征条件独立的假设的分类方法。通俗地讲,对于给出的待分类项,求解在此项出现的条件下各个类别出现的概率,哪个最大,就认为此待分类项属于哪个类别。

朴素贝叶斯分类器可以表示为:

也就是给定参数,找一个概率最大的ck出来。注意到上式分母其实就是P(X=x),x给定了就固定了,跟ck一点关系都没有,所以分母可以去掉,得到:

 

学习与分类算法

优缺点
优点:生成式模型,通过计算概率来进行分类,可以用来处理多分类问题;对小规模的数据表现很好,适合多分类任务,适合增量式训练,算法也比较简单。
缺点:由于使用了样本属性独立性的假设,所以如果样本属性有关联时其效果不好,即对输入数据的表达形式很敏感。

3.决策树
机器学习中,决策树是一个预测模型;他代表的是对象属性与对象值之间的一种映射关系。树中每个节点表示某个对象,而每个分叉路径则代表的某个可能的属性值,而每个叶结点则对应从根节点到该叶节点所经历的路径所表示的对象的值。决策树仅有单一输出,若欲有复数输出,可以建立独立的决策树以处理不同输出。

从数据产生决策树的机器学习技术叫做决策树学习, 通俗点说就是决策树,说白了,这是一种依托于分类、训练上的预测树,根据已知预测、归类未来。

决策树学习通常包括3个步骤:特征选择,决策树的生成、树的剪枝。


3.1 ID3

设D为用类别对训练元组进行的划分,则D的熵(entropy)表示为:

根据条件概率,在特征A给定条件下D的经验条件熵表示为:

则信息增益表示为:

ID3算法的核心思想就是以信息增益度量属性选择,选择分裂后信息增益最大的属性进行分裂。


3.2 C4.5
C4.5是ID3的改进算法,相比于ID3,改进地方有哪些呢?
1. 用信息增益率来选择属性。ID3选择属性用的是子树的信息增益,这里可以用很多方法来定义信息,ID3使用的是熵(entropy,熵是一种不纯度度量准则),也就是熵的变化值,而C4.5用的是信息增益率。对,区别就在于一个是信息增益,一个是信息增益率。

增益比率度量是用前面的增益度量Gain(S,A)和分裂信息度量SplitInformation(S,A)来共同定义的,其中,分裂信息度量被定义为(分裂信息用来衡量属性分裂数据的广度和均匀),如下所示:

- 在树构造过程中进行剪枝,在构造决策树的时候,那些挂着几个元素的节点,不考虑最好,不然容易导致overfitting。
- 对非离散数据也能处理。
- 能够对不完整数据进行处理。

 


3.3 CART

CART(classification and regression tree)既可以用来构建回归树也可以用来构建分类树,在回归时采用平方误差最小化准则,对分类树采用基尼指数(Gini Index)最小化准则,进行特征选择,生成二叉树。CART的算法整体过程和上面的差异不大,然是CART的决策是二叉树的每一个决策只能是“是”和“否”,换句话说,即使一个feature有多个可能取值,也只选择其中一个而把数据分类两部分而不是多个,这里我们主要讲一下分类树,它用到的是基尼指数:


上面讲述了三个决策树算法的基础思想,那么决策树的性能以及使用领域呢?

决策树性能(优缺点)
优点:思想简单,计算复杂度低;数据的准备简单,能同时处理数据型属性和常规型属性;输出结果易于理解、对中间值缺失不敏感、可以处理不相关特征数据。
缺点:容易出现过拟合;对于那些各类别样本数量不一致的数据,在决策树当中,信息增益的结果偏向于那些具有更多数值的特征;信息缺失时处理起来比较困难,忽略数据集中属性之间的相关性。
决策树使用领域
企业管理实践,企业投资决策,由于决策树很好的分析能力,在决策过程应用较多。


4. Logistic 回归
从线性回归,分析因变量z和自变量xi之间的定量依赖关系,自变量可以连续或者离散,但因变量为连续值。如果因变量为离散值怎么办?逻辑函数的引入顺利解决了改为提。利用逻辑函数将自变量加权压缩带0~1范围,用于表示因变量取各离散值的概率。所以,逻辑回归可以表示为:


回归就是将一些数据点用一条直线对这些点进行拟合。而Logistic回归是指根据现有数据对分类边界线建立回归公式,以此进行分类。

优点:实现简单,易于理解和实现;计算代价不高,速度很快,存储资源低;
缺点:容易欠拟合,分类精度可能不高。
参数优化方法:梯度下降法,牛顿法、拟牛顿法。
应用领域:反垃圾算法,推荐系统中的排序等。

 

5. Adaboost
adaboost算法通俗地讲,就是在一个数据集上的随机数据使用一个分类训练多次,每次对分类正确的数据赋权值较小,同时增大分类错误的数据的权重,如此反复迭代,直到达到所需的要求。Adaboost算法步骤如下:

步骤1. 首先初始化训练数据的权值分布,每一个训练样本开始时被赋予相同的权重:1/N。

步骤2. 进行多轮迭代,用m=1,2,3,…,M表示迭代的第多少轮
a. 使用权值分布Dm的训练数据集学习,得到基本分类器

b. 计算Gm(x)在训练数据集上的分类误差率

由上述公式可得:Gm(x)在训练数据集上的误分率em=被Gm(x)误分类样本的权值之和。
c. 计算Gm(x)系数,am表示Gm(x)在最终分类器中的重要程度

当em<=1/2时am>=0,且am随着em的减小而增大,这意味着误分率越小的基本分类器在最终的分类器中作用越大。
d. 更新训练数据集的权值分布,得到新的Dm分布,使得误分类样本权值增加,正确分类样本权值减小,这样,adaboost方法聚焦于那些较难分类的样本上。


其中,Zm为规范化因子,使得Dm+1成为一个概率分布。

步骤3. 组合m个弱分类器,从而得到级联强分类器


性能评价
优点:简单,泛化错误率低,可以将不同的分类算法作为弱分类器,充分考虑每个分类器的权重。
缺点:弱分类器数目不好设定,可以使用交叉验证确定;数据不平衡导致分类精度下降;训练比较耗时,每次重新选择当前分类器最好切分点。
应用领域:模式识别、计算机视觉领域、分类问题。

 

6. SVM
SVM是基于结构风险(经验风险和置信风险)最小化的机器学习算法,支持向量机方法是建立在统计学习理论的VC 维理论和结构风险最小原理基础上的,根据有限的样本信息在模型的复杂性(即对特定训练样本的学习精度,Accuracy)和学习能力(即无错误地识别任意样本的能力)之间寻求最佳折衷,以期获得最好的推广能力[14](或称泛化能力)。

选择最大间隔分类器的原因
几何间隔与样本的误分次数间存在关系:
其中的分母就是样本到分类间隔距离,分子中的R是所有样本中的最长向量值。
算法流程
原始目标函数:
引入拉格朗日系数α:
将上述的公式采用对偶优化理论可以 转换为下面的目标函数(约束条件来自于上述的公式对w和b求导):

而这个函数可以用常用的优化方法求得α,进而求得w和b。
按照道理,svm简单理论应该到此结束。不过还是要补充一点,即在预测时有:

关于松弛变量的引入,因此原始的目标优化公式为:

此时对应的对偶优化公式为:

与前面的相比只是α多了个上界。

性能评价及应用领域

优点:可用于线性/非线性分类,也可以用于回归;低泛化误差;容易解释;计算复杂度较低;无局部极小值问题。(相对于神经网络等算法);解决小样本下机器学习问题;可以很好的处理高维数据集。
缺点:对参数和核函数的选择比较敏感;原始的SVM只比较擅长处理二分类问题;对缺失数据敏感;对于核函数的高维映射解释力不强,尤其是径向基函数。
应用:文本分类、图像识别、主要二分类领域


7. K-Means
K-means算法是聚类分析中使用最广泛的算法之一。它把n个对象根据他们的属性分为k个聚类以便使得所获得的聚类满足:同一聚类中的对象相似度较高;而不同聚类中的对象相似度较小。

Kmeans的计算过程大概表示如下:
- step1. 随机选择k个聚类中心. 最终的类别个数<= k
- step2. 计算每个样本到各个中心的距离
- step3.每个样本聚类到离它最近的中心
- step4.重新计算每个新类的中心
- step5.重复以上步骤直到满足收敛要求。(通常就是中心点不再改变或满足一定迭代次数).
伪代码如下:


时间复杂度:O(tKmn),其中,t为迭代次数,K为簇的数目,m为记录数,n为维数
空间复杂度:O((m+K)n),其中,K为簇的数目,m为记录数,n为维数

这里在看一下,K-Means的一些问题:
1. k的选择
k是用户自己定义的初始化参数,一般表示数据的一种分布方式。
2. 距离度量(看KNN)
3. 性能评价:
优点:本算法确定的K 个划分到达平方误差最小。当聚类是密集的,且类与类之间区别明显时,效果较好。对于处理大数据集,这个算法是相对可伸缩和高效的,计算的复杂度为O(NKt),其中N是数据对象的数目,t是迭代的次数。一般来说,K远远小于N,t远远小于N 。

缺点:聚类中心的个数K 需要事先给定,但在实际中这个 K 值的选定是非常难以估计的,很多时候,事先并不知道给定的数据集应该分成多少个类别才最合适;Kmeans需要人为地确定初始聚类中心,不同的初始聚类中心可能导致完全不同的聚类结果。(可以使用Kmeans++算法来解决)

 

 

 

 

 

 

 

分类:

技术点:

相关文章: